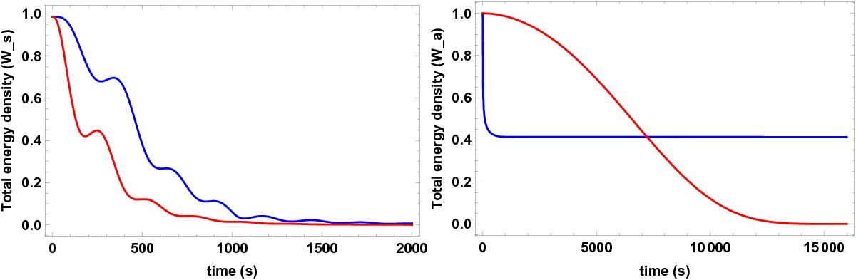
Fig. 18

Left panel: temporal behaviour of the slow-wave total energy density vs. time in the cooling (red line) and heating (blue line) processes. Right panel: temporal behaviour of the Alfvén wave total energy density vs. time in the cooling (red line) and heating (blue line) processes. In both cases, the total energy density has been normalized with respect to its initial value (kx = 10-6 m-1).
Current usage metrics show cumulative count of Article Views (full-text article views including HTML views, PDF and ePub downloads, according to the available data) and Abstracts Views on Vision4Press platform.
Data correspond to usage on the plateform after 2015. The current usage metrics is available 48-96 hours after online publication and is updated daily on week days.
Initial download of the metrics may take a while.