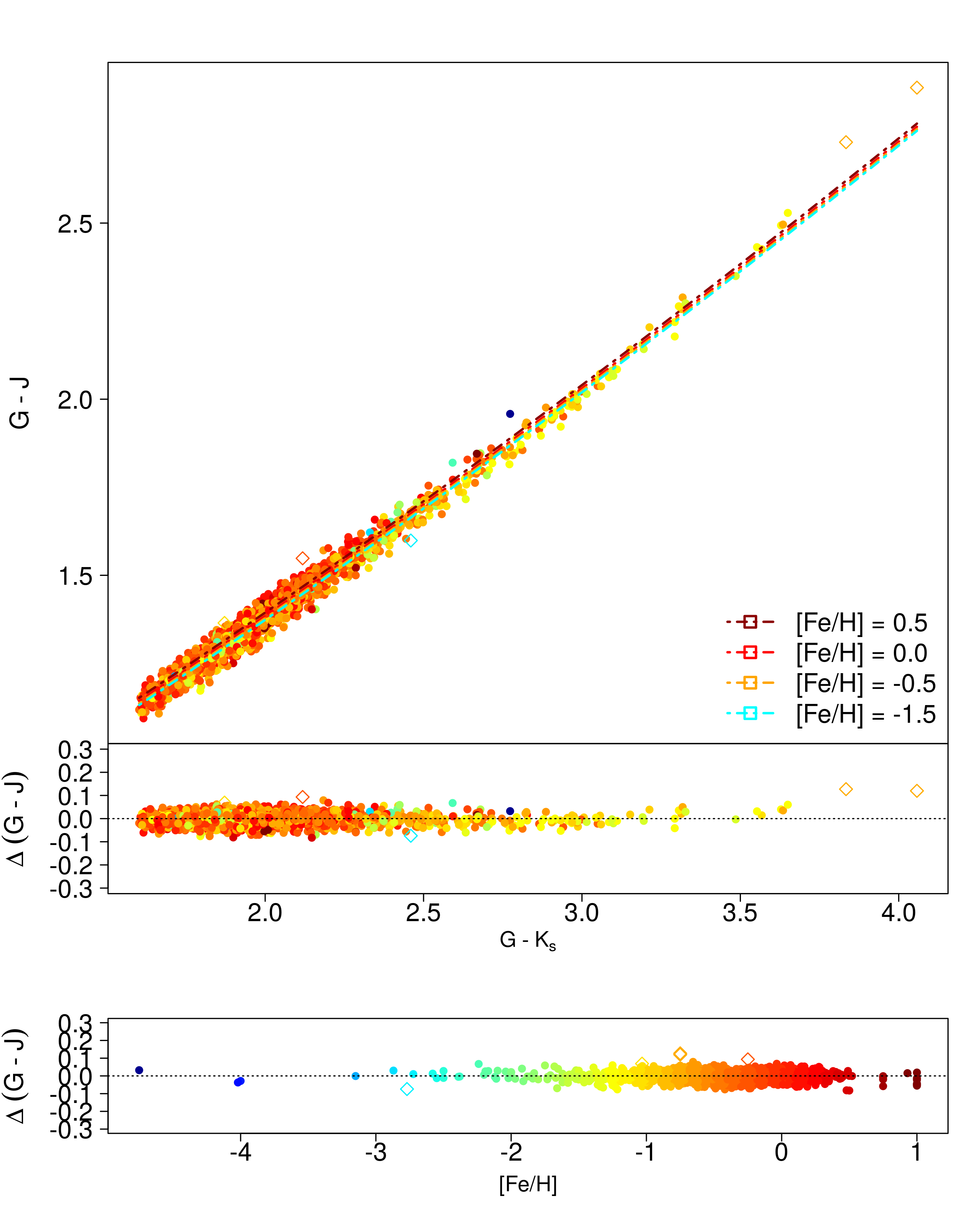
Fig. 4

Empirical colour vs. G−Ks calibrations for B−Ks, G−J, g−r and g−i colour indices. The dash-dotted lines correspond to our calibration at fixed metallicities (see legend). The colour of the points varies as a function of the metallicity. Diamonds correspond to the outliers removed at 3σ during the MCMC process. At the bottom of each calibration plot the residuals of the fit as a function of G−Ks and [Fe/H] are shown. All plots are scaled to the same G−Ks colour and metallicity intervals.
Current usage metrics show cumulative count of Article Views (full-text article views including HTML views, PDF and ePub downloads, according to the available data) and Abstracts Views on Vision4Press platform.
Data correspond to usage on the plateform after 2015. The current usage metrics is available 48-96 hours after online publication and is updated daily on week days.
Initial download of the metrics may take a while.