Free Access
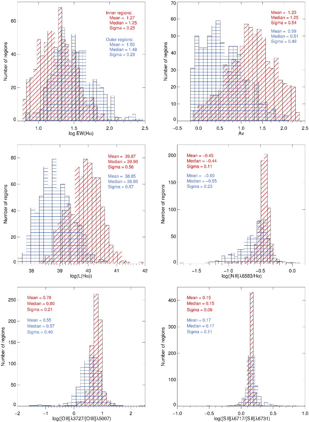
Fig. 8

From top to bottom and left to right: equivalent width of Hα, dust attenuation, Hα luminosity and of the [N ii] λ6583/Hα, [O ii] λ3727/[O iii] λ5007, and [S ii] λ6717/[S ii] λ6731 emission-line ratios for the inner (red diagonally-hatched diagram) and outer (blue horizontally-hatched diagram) region samples.
Current usage metrics show cumulative count of Article Views (full-text article views including HTML views, PDF and ePub downloads, according to the available data) and Abstracts Views on Vision4Press platform.
Data correspond to usage on the plateform after 2015. The current usage metrics is available 48-96 hours after online publication and is updated daily on week days.
Initial download of the metrics may take a while.