Free Access

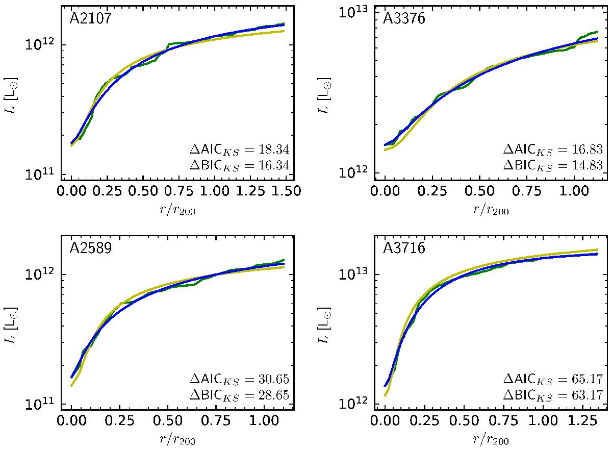
Fig. 4

image

Growth curves of the 4 clusters (green lines) best fitted with the King models (yellow lines) and corresponding Sérsic fits (blue lines). The cluster name is shown in the upper left corner of each panel, while in the lower right corner we plotted the discrepancy between the two models quantified with the two criteria defined in Sect. 5.1.

Current usage metrics show cumulative count of Article Views (full-text article views including HTML views, PDF and ePub downloads, according to the available data) and Abstracts Views on Vision4Press platform.

Data correspond to usage on the plateform after 2015. The current usage metrics is available 48-96 hours after online publication and is updated daily on week days.

Initial download of the metrics may take a while.