Free Access

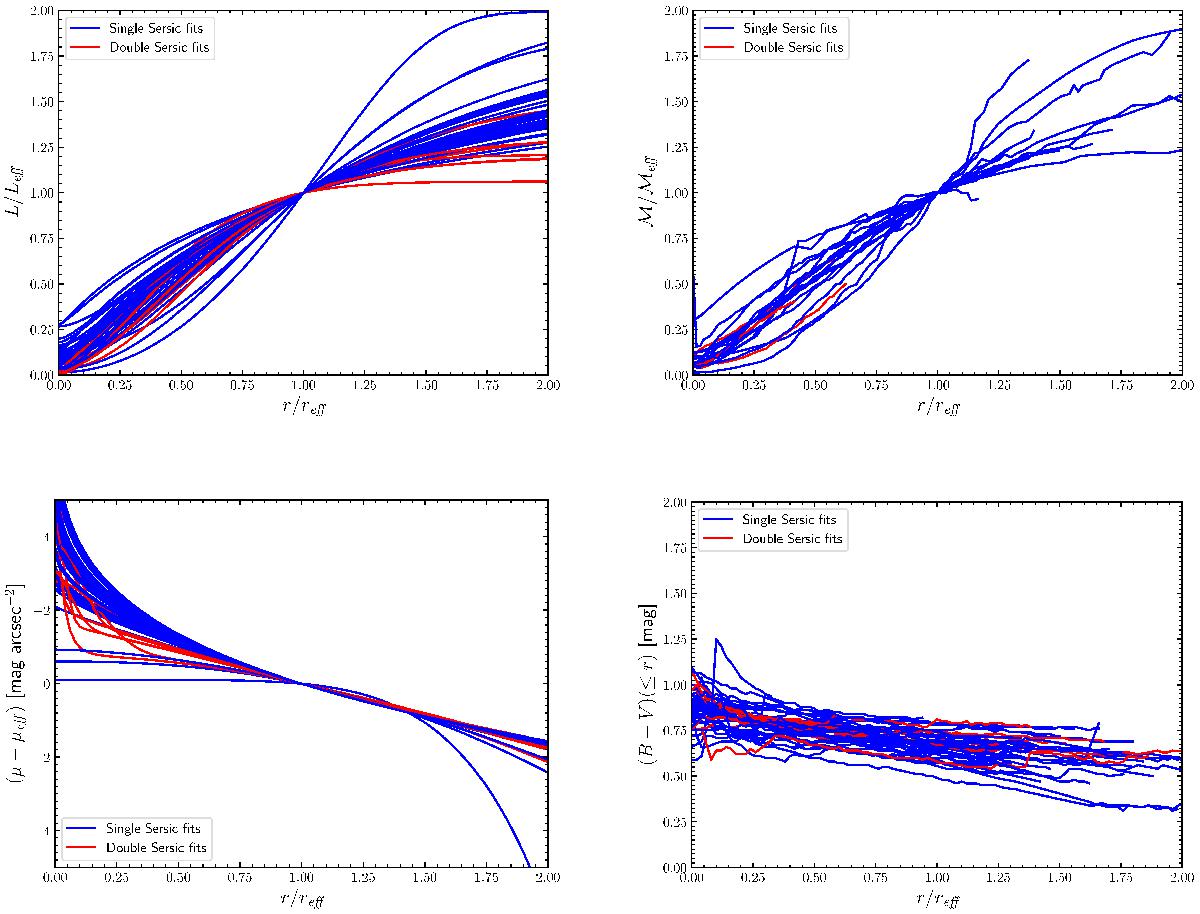
Fig. 8

image

Left panels: superposition of the luminosity and surface brightness profiles associated with all the best fit models, normalized to the effective parameters. Right panels: the mass and color profiles with the same normalization are superimposed. Blue and red lines are associated with the single and double Sérsic fits used to reproduce the luminosity profiles (see Sect. 5.1 for details).

This figure is made of several images, please see below:

Current usage metrics show cumulative count of Article Views (full-text article views including HTML views, PDF and ePub downloads, according to the available data) and Abstracts Views on Vision4Press platform.

Data correspond to usage on the plateform after 2015. The current usage metrics is available 48-96 hours after online publication and is updated daily on week days.

Initial download of the metrics may take a while.