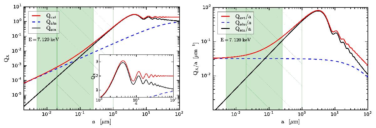
Fig. 7

Left: comparison of the calculated absorption (dashed blue line), scattering (solid black line), and extinction (solid red line) efficiencies at hν = 7120 eV (near Fe K-edge) for olivine. The two green regions indicate the size range investigated in this work: in particular (0.005 ≤ a ≤ 0.25) μm (filled green) and (0.02 ≤ a ≤ 1) μm (hatched green). Right: comparison of the calculated absorption, scattering, and extinction efficiencies per unit of radii as a function of the grain size. The absorption Q-factor per grain size remains roughly constant along the two size ranges analysed in this work (the green areas). Instead, the scattering Q-factor per radii unit increases, achieving the maximum value at ~3 μm.
Current usage metrics show cumulative count of Article Views (full-text article views including HTML views, PDF and ePub downloads, according to the available data) and Abstracts Views on Vision4Press platform.
Data correspond to usage on the plateform after 2015. The current usage metrics is available 48-96 hours after online publication and is updated daily on week days.
Initial download of the metrics may take a while.