Free Access
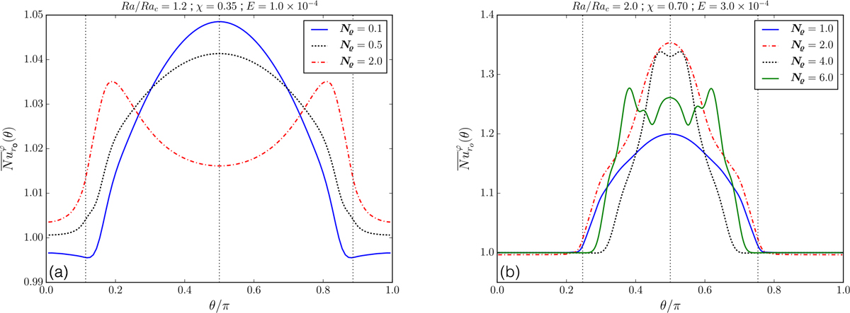
Fig. 1

Nusselt number as a function of colatitude close to the onset of convection with increasing density stratification, for thick (a) and thin (b) shells. The positions of the equator and the tangent cylinder are indicated by vertical dotted lines.
Current usage metrics show cumulative count of Article Views (full-text article views including HTML views, PDF and ePub downloads, according to the available data) and Abstracts Views on Vision4Press platform.
Data correspond to usage on the plateform after 2015. The current usage metrics is available 48-96 hours after online publication and is updated daily on week days.
Initial download of the metrics may take a while.