Free Access
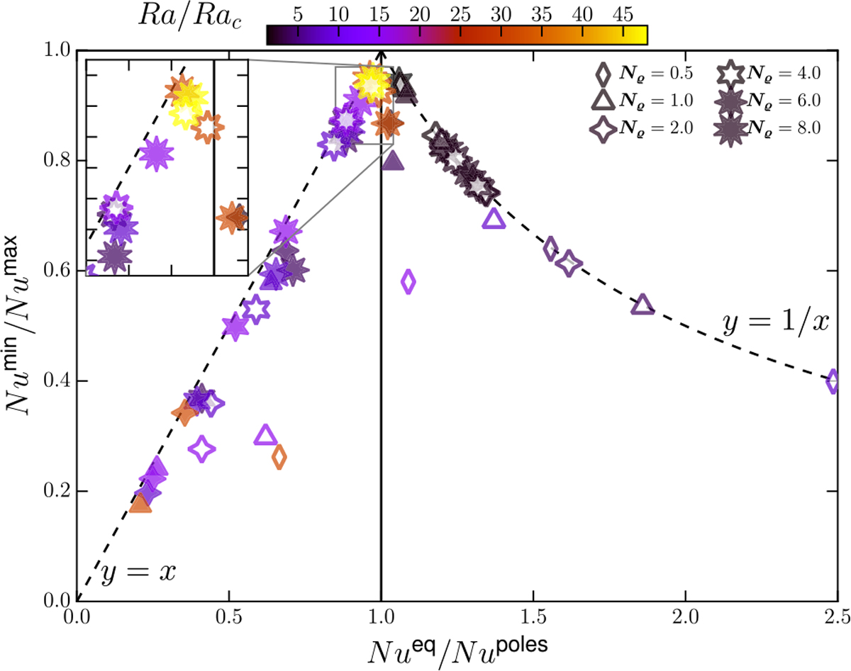
Fig. 3

Ratio as a functionof the ratio
for our sample of models. The symbol shape and colour indicate the number of density scale heights and the departure from the onset, respectively. Empty/full symbols are used for thin/thick shell models.
Current usage metrics show cumulative count of Article Views (full-text article views including HTML views, PDF and ePub downloads, according to the available data) and Abstracts Views on Vision4Press platform.
Data correspond to usage on the plateform after 2015. The current usage metrics is available 48-96 hours after online publication and is updated daily on week days.
Initial download of the metrics may take a while.