Free Access
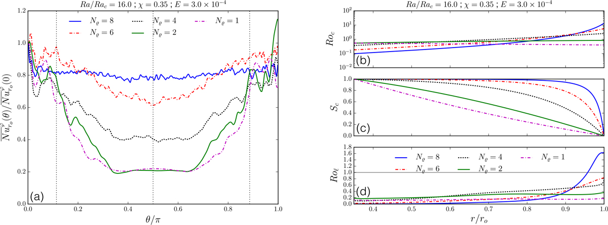
Fig. 5

Left: normalised Nusselt profiles (a) averaged in time for a subset of thick shell models with decreasing density stratification. Right: radial profiles of the convective Rossby number (b), conductive entropy (c) and local Rossby number (d) for the same subset of models.
Current usage metrics show cumulative count of Article Views (full-text article views including HTML views, PDF and ePub downloads, according to the available data) and Abstracts Views on Vision4Press platform.
Data correspond to usage on the plateform after 2015. The current usage metrics is available 48-96 hours after online publication and is updated daily on week days.
Initial download of the metrics may take a while.