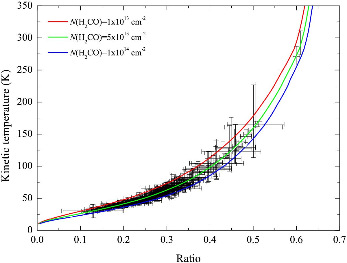
Fig. 4

RADEX non-LTE modeling of the relation between the kinetic temperature and the average ratio of para-H2CO 322–221/303–202 and 321–220/303–202 with an assumed density of n(H2) = 105 cm-3, an averaged linewidth of 2.0 km s-1, and column density of N(para-H2CO) = 1 × 1013 (red line), 5 × 1013 (green line), and 1 × 1014 cm-2 (blue line). The black points are derived from our observed H2CO line ratios for a column density N(para-H2CO) = 5 × 1013 cm-2, the average value for the OMC-1 (see Sect. 3.2). The temperature uncertainties are obtained from observed para-H2CO line ratio errors.
Current usage metrics show cumulative count of Article Views (full-text article views including HTML views, PDF and ePub downloads, according to the available data) and Abstracts Views on Vision4Press platform.
Data correspond to usage on the plateform after 2015. The current usage metrics is available 48-96 hours after online publication and is updated daily on week days.
Initial download of the metrics may take a while.