Free Access
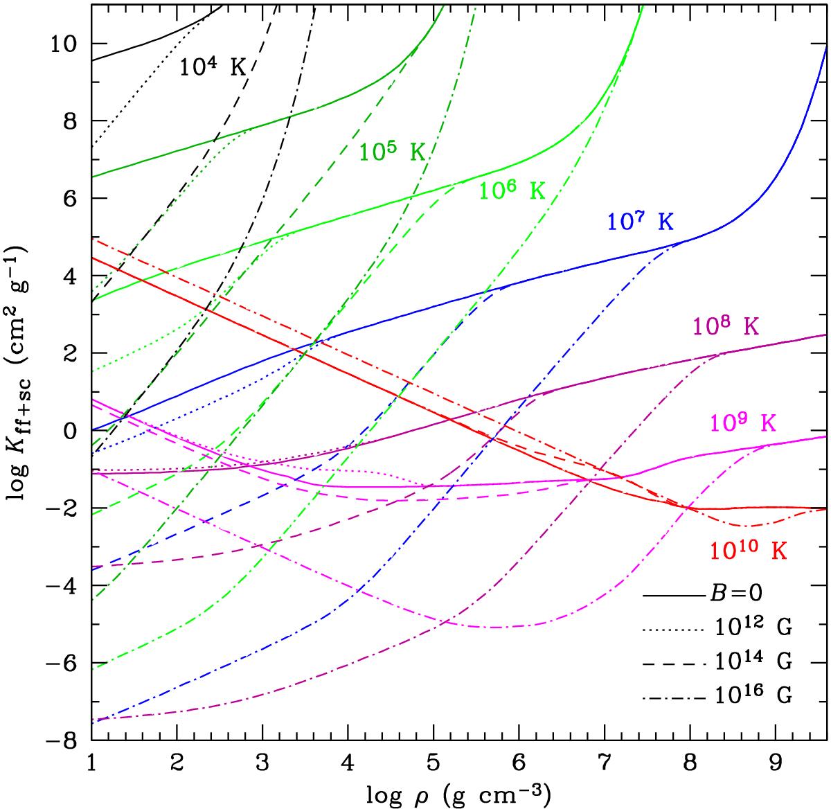
Fig. 1

Rosseland mean radiative opacities due to the free-free transitions and Compton scattering in the model of fully ionized iron plasma as functions of mass density at different temperatures (marked near the curves) and magnetic fields B = 0, 1012 G, 1014 G, and 1016 G (shown by different line styles).
Current usage metrics show cumulative count of Article Views (full-text article views including HTML views, PDF and ePub downloads, according to the available data) and Abstracts Views on Vision4Press platform.
Data correspond to usage on the plateform after 2015. The current usage metrics is available 48-96 hours after online publication and is updated daily on week days.
Initial download of the metrics may take a while.