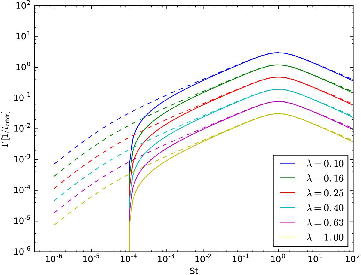
Fig. 2

Growth rate in units of the reciprocal orbital time (1 /torbit = ΩK/ 2π) of the dust-driven viscous instability, as a function of dust particle size (expressed as Stokes number St), according to the simplified analysis of Sect. 3. Dashed lines: case 1 (i.e. φg = 0), solid lines: case 2 (i.e. φg = −φd). The different lines show modes of different dimensionless wavelength λ in the dimensionless coordinate x, where λ = 2π/k. A dimensionless wavelength λ = 1 means a wavelength as large as r0. The parameters of the model shown here are φd = −1.0, α1 = 10-4, M∗ = 1 M⊙, L∗ = 10 L⊙, r0 = 60 au, T = 43,K, Sc = 1 (i.e. cs = 0.39 km s-1 and torbit = 465 yr).
Current usage metrics show cumulative count of Article Views (full-text article views including HTML views, PDF and ePub downloads, according to the available data) and Abstracts Views on Vision4Press platform.
Data correspond to usage on the plateform after 2015. The current usage metrics is available 48-96 hours after online publication and is updated daily on week days.
Initial download of the metrics may take a while.