Fig. 5

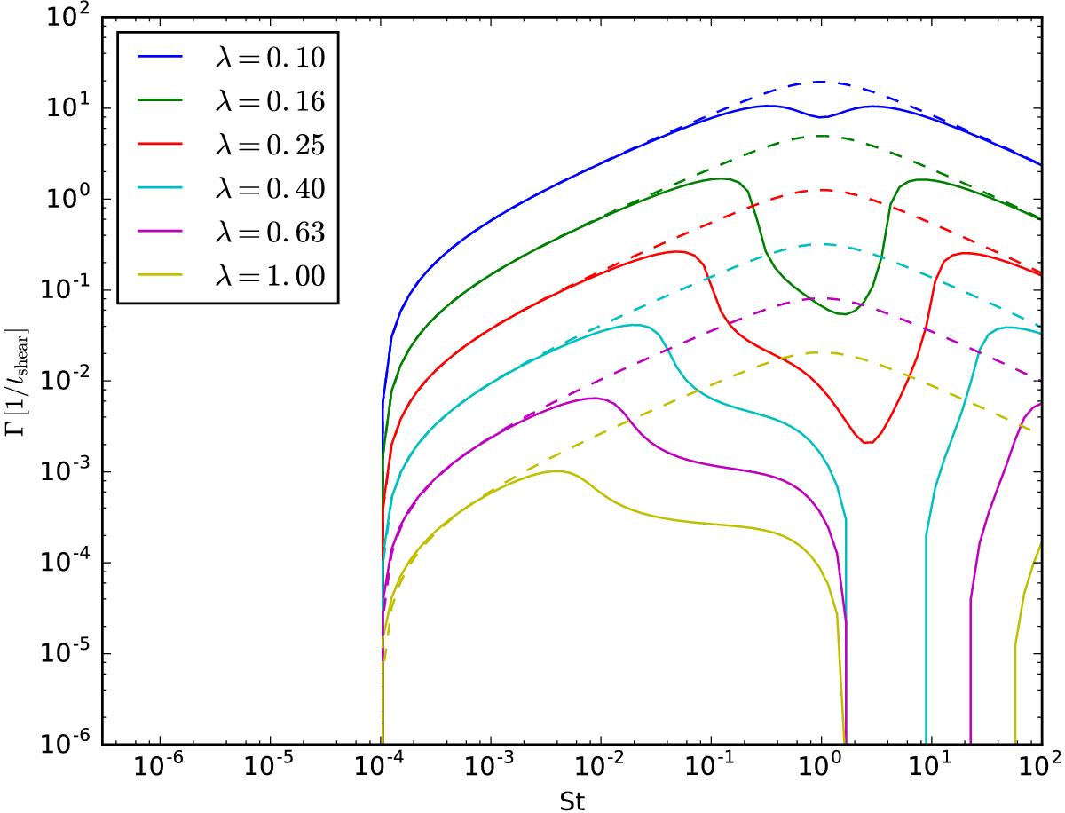
Results for the full perturbation analysis of Sect. 4 (solid lines) compared to the results of the simplified perturbation analysis of Sect. 3 (dashed lines). Here case 2 is shown (φg = −φd) with φd = −1. For the rest the figure is the same as Fig. 3. If we would have plotted case 1 instead of case 2, the difference would only be that the curves would not be cut off for St ≲ 10-4, but would continue down to St → 0 in the same fashion as the dashed lines in Fig. 3.
Current usage metrics show cumulative count of Article Views (full-text article views including HTML views, PDF and ePub downloads, according to the available data) and Abstracts Views on Vision4Press platform.
Data correspond to usage on the plateform after 2015. The current usage metrics is available 48-96 hours after online publication and is updated daily on week days.
Initial download of the metrics may take a while.