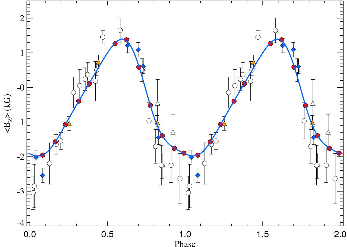
Fig. 4

Variability of the mean longitudinal magnetic field of HD 119419 with the rotational phase. White circles are from Mathys (1994), white triangles from Mathys & Hubrig (1997), orange triangles from Thompson et al. (1987), and blue diamonds from Bohlender et al. (1993). Our data points are shown with red circles. The thick solid curve is the fourth-order Fourier fit to all longitudinal field measurements.
Current usage metrics show cumulative count of Article Views (full-text article views including HTML views, PDF and ePub downloads, according to the available data) and Abstracts Views on Vision4Press platform.
Data correspond to usage on the plateform after 2015. The current usage metrics is available 48-96 hours after online publication and is updated daily on week days.
Initial download of the metrics may take a while.