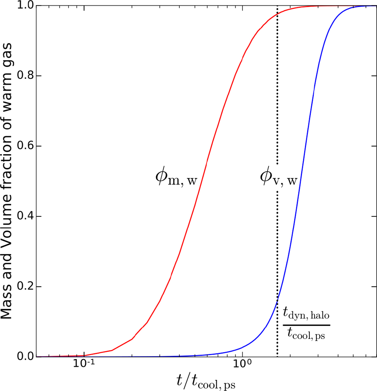
Fig. 5

Change in the mass fraction, ϕm,w, and the volume filling-factor, ϕv,w, of the warm, 104 K gas as a function of the post-shock cooling time (Eqs. (9) and (10)). The timescale is expressed in units of the isobaric cooling time, tcool,ps, as defined inthe text. The initial values of the pressure and temperature are the same as those used in Fig. 4. We indicate the ratio of the halo dynamical and post-shock cooling times as a vertical black dotted line. This suggests that with our initial conditions, the stream has sufficient time to fragment significantly, but not reach a high volume-filling factor of warm gas. This suggests that even highly fragmented streams with high ϕm,w are challenging to identify and study via QSO absorption lines.
Current usage metrics show cumulative count of Article Views (full-text article views including HTML views, PDF and ePub downloads, according to the available data) and Abstracts Views on Vision4Press platform.
Data correspond to usage on the plateform after 2015. The current usage metrics is available 48-96 hours after online publication and is updated daily on week days.
Initial download of the metrics may take a while.