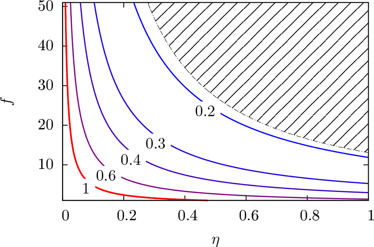
Fig. 7

Disruption of the flow as a function of the filament overdensity, f, and level of turbulence, η. The contours represent constant ratios of tdisrupt∕tdyn,halo as labeled (cf. Eqs. (5) and (15)). We assume a volume-filling factor of 0.1 (see Fig. 5) for the warm clouds and rstream = rvir/10. In regions with values less than 1, the streams are “disrupted” (Sect. 3.3). The shaded region indicates regions that are forbidden because for these values of the parameters, the post-shock pressure is less than the halo pressure. We note that because , the contours of constant tdisrupt∕tdyn,halo are shaped like contours of constant σturb in the same plane. For example, the contour, tdisrupt∕tdyn,halo = 0.2, is close to the contour for σturb = 200 km s−1, which is almost half the initial velocity of the flow.
Current usage metrics show cumulative count of Article Views (full-text article views including HTML views, PDF and ePub downloads, according to the available data) and Abstracts Views on Vision4Press platform.
Data correspond to usage on the plateform after 2015. The current usage metrics is available 48-96 hours after online publication and is updated daily on week days.
Initial download of the metrics may take a while.