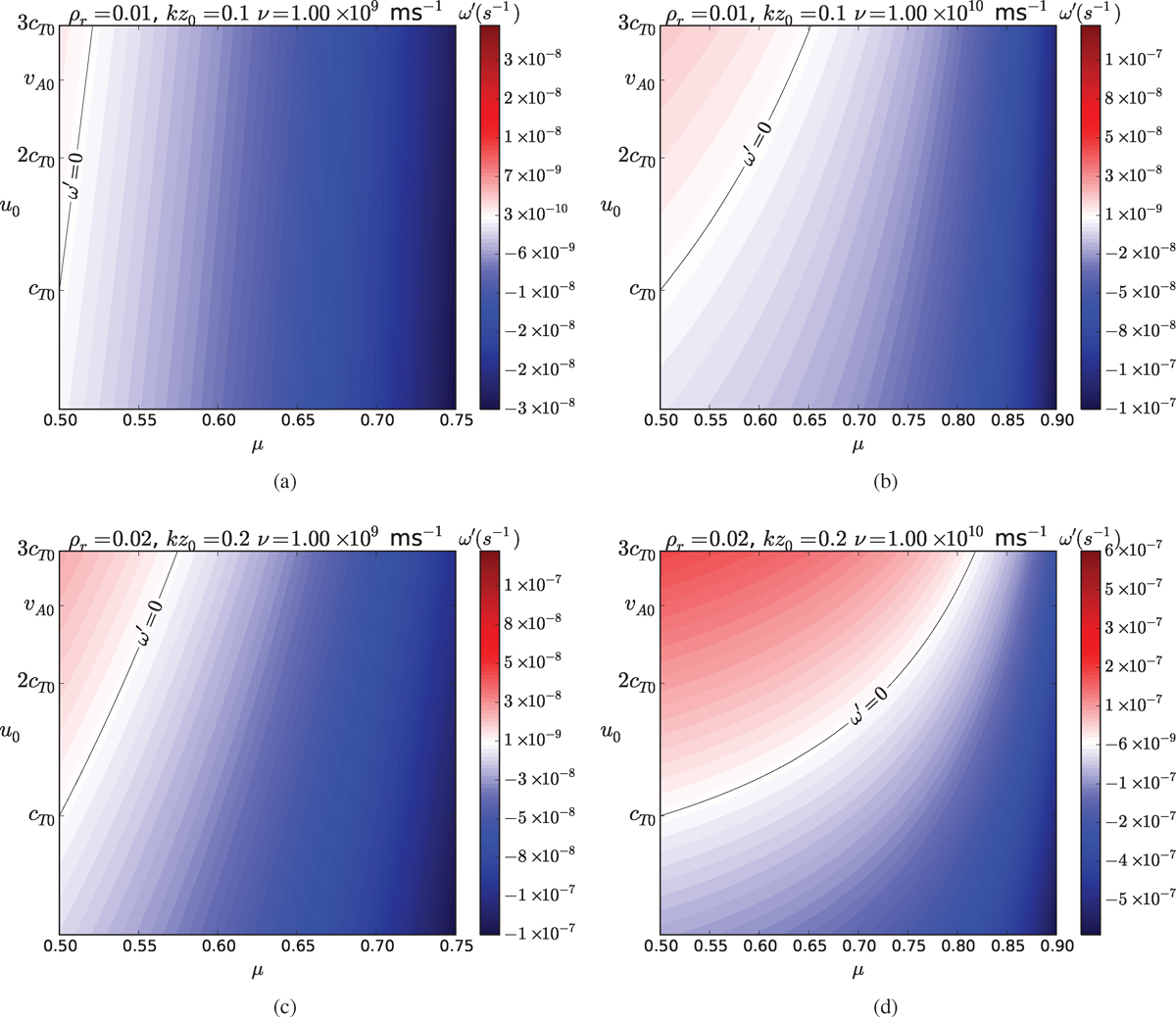
Fig. 3

Contour plots showing the variation of ω′ with respect to the internal background flow speed, ui, and the ionisation degree μ. Red indicates a positive value of ω′ (amplification) and blue indicates a negative value of ω′ (damping). The colour bar shows the numerical value of ω′ and the contour labelled ω′ = 0 indicates the transition between amplification and damping of the wave. Panels a and b both use the parameters ρr = 0.01, kz0 = 0.1, and k = 2 × 10−7 m−1 but with ν = 109 m2 s−1 and ν = 1010 m2 s−1 respectively. In the panels c and d we used ρr = 0.02, kz0 = 0.2 and k = 4 × 10−7 m−1 along with ν = 109 m2 s−1 and ν = 1010 m2 s−1, respectively.
Current usage metrics show cumulative count of Article Views (full-text article views including HTML views, PDF and ePub downloads, according to the available data) and Abstracts Views on Vision4Press platform.
Data correspond to usage on the plateform after 2015. The current usage metrics is available 48-96 hours after online publication and is updated daily on week days.
Initial download of the metrics may take a while.