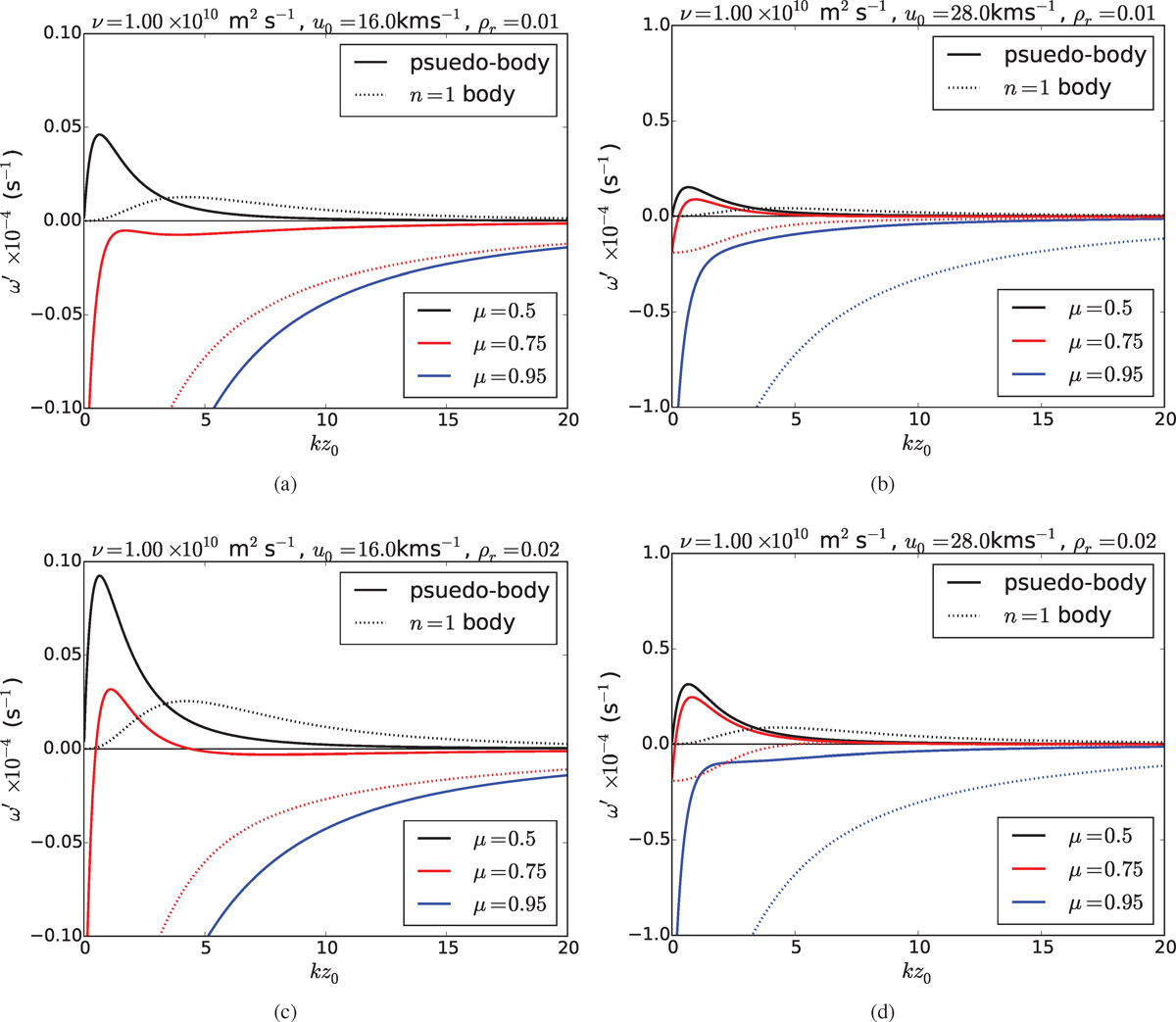
Fig. 4

Variation of the imaginary part of the frequency (ω′) for pseudo-body (—) and n = 1 (⋅ ⋅) body mode with respect to dimensionless wave-number, kz0. We fix the wavenumber at k = 5 × 10−6 m−1 with the slabwidth varying. For each separate diagram the background flow speed has been taken to be u0 = 16.0 km s−1 and u0 = 28.0 km s−1, respectively. Panels a and b correspond to ρr = 0.01, while panels c and d to ρr = 0.02. All panels a–d use a viscosity coefficient of ν = 1010 m2 s−1. Black lines denote an ionisation degree of μ = 0.5, red and blue lines correspond to μ = 0.75 and μ = 0.95, respectively.
Current usage metrics show cumulative count of Article Views (full-text article views including HTML views, PDF and ePub downloads, according to the available data) and Abstracts Views on Vision4Press platform.
Data correspond to usage on the plateform after 2015. The current usage metrics is available 48-96 hours after online publication and is updated daily on week days.
Initial download of the metrics may take a while.