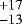
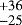
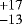
Table 1
HIPPARCOS and TGAS parallaxes and inferred distances of the five members of Chamaeleon I included in both catalogs.
Tycho 2 Id | HIP | Gaia DR1 Id | πHip [mas] | dHip [pc] | πTGAS [mas] | dTGAS [pc] |
---|---|---|---|---|---|---|
TYC 9414-33-1 | 52712 | 5200988654226855680 | 5.70 ± 0.96 | 175 ![]() |
4.84 ± 0.21 | 207 ![]() |
... | 54365 | 5201129116838179328 | 4.49 ± 1.59 | 223![]() |
5.06 ± 0.22 | 198![]() |
TYC 9414-795-1 | 54413 | 5201128120405767040 | 6.31 ± 0.62 | 158 ![]() |
5.59 ± 0.26 | 179 ![]() |
TYC 9410-2805-1 | 54557 | 5201344071360118016 | 5.60 ± 0.88 | 178 ![]() |
5.43 ± 0.23 | 185 ![]() |
TYC 9410-60-1 | 54744 | 5201295314892489728 | 6.97 ± 2.86 | 143 ![]() |
5.03 ± 0.22 | 199![]() |
Notes. Parallaxes from the HIPPARCOS mission are taken from van Leeuwen (2007), and converted to distances as the inverse of the parallax with the errors calculated using the inverted parallax plus or minus the 1σ uncertainty. Parallaxes of Gaia DR1 (TGAS) are taken from Gaia Collaboration (2016a). Distances are the mode of the posteriors obtained converting the trigonometric parallaxes assuming an anisotropic prior (Table 3, without systematic uncertainties of Astraatmadja & Bailer-Jones 2016), and the uncertainties are the difference between the 5th and 95th percentile to the modeof the posterior.
Current usage metrics show cumulative count of Article Views (full-text article views including HTML views, PDF and ePub downloads, according to the available data) and Abstracts Views on Vision4Press platform.
Data correspond to usage on the plateform after 2015. The current usage metrics is available 48-96 hours after online publication and is updated daily on week days.
Initial download of the metrics may take a while.