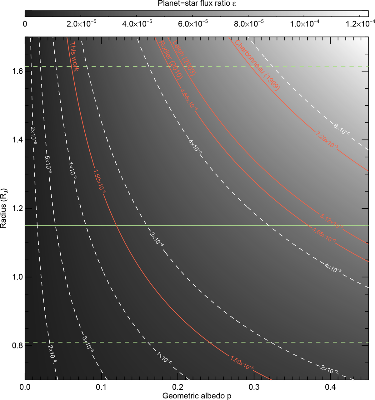
Fig. 13

Planet-to-star contrast ratio ϵ as a functionof the geometric albedo p and the planetary radius Rp. Solid contour lines indicate the contrast limit of 1.5 × 10−5 and the limits reached by Charbonneau et al. (1999), Leigh et al. (2003a) and Rodler et al. (2010) converted to 3σ confidence. The horizontal lines denote R = 0.8, 1.15 and 1.61 RJ, which are the minimum, the mean and the maximum radii of all known transiting hot Jupiters with masses between 3 and 9 MJ.
Current usage metrics show cumulative count of Article Views (full-text article views including HTML views, PDF and ePub downloads, according to the available data) and Abstracts Views on Vision4Press platform.
Data correspond to usage on the plateform after 2015. The current usage metrics is available 48-96 hours after online publication and is updated daily on week days.
Initial download of the metrics may take a while.