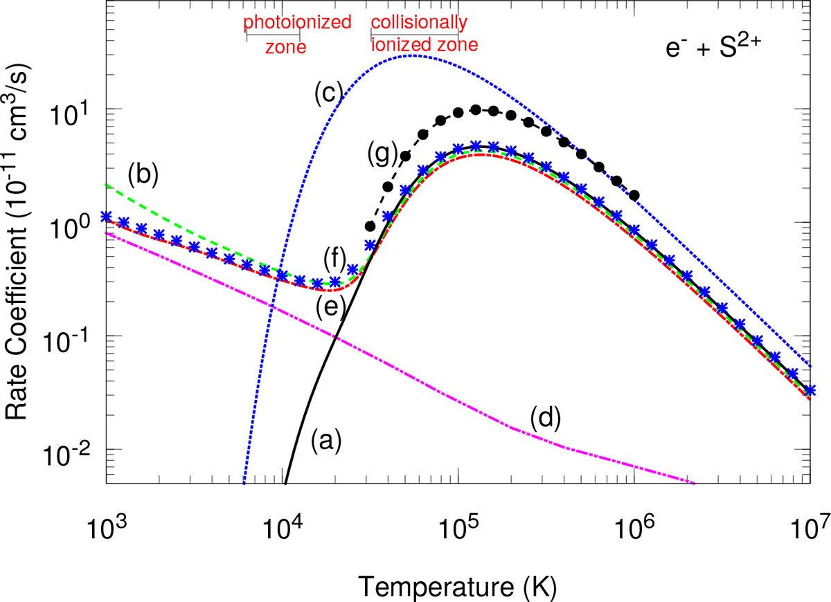
Fig. 1

Total Maxwellian-averaged DR and RR ground-state rate coefficients for S2+: a) black solid curve, previous recommended data of Mazzotta et al. (1998); b) green dashed curve, present MCBP results; c) blue dotted curve, empirical formula of Mewe et al. (1980); d) magenta dotted-dashed curve, present RR rate coefficient; e) red dotted-dashed curve, previous MCBP results (Badnell et al. 2015); f) blue asterisks, LS R-matrix, RR + DR (Nahar 1995); g) black dashed curve with points, LS MCBP results (Badnell 1991).
Current usage metrics show cumulative count of Article Views (full-text article views including HTML views, PDF and ePub downloads, according to the available data) and Abstracts Views on Vision4Press platform.
Data correspond to usage on the plateform after 2015. The current usage metrics is available 48-96 hours after online publication and is updated daily on week days.
Initial download of the metrics may take a while.