Free Access
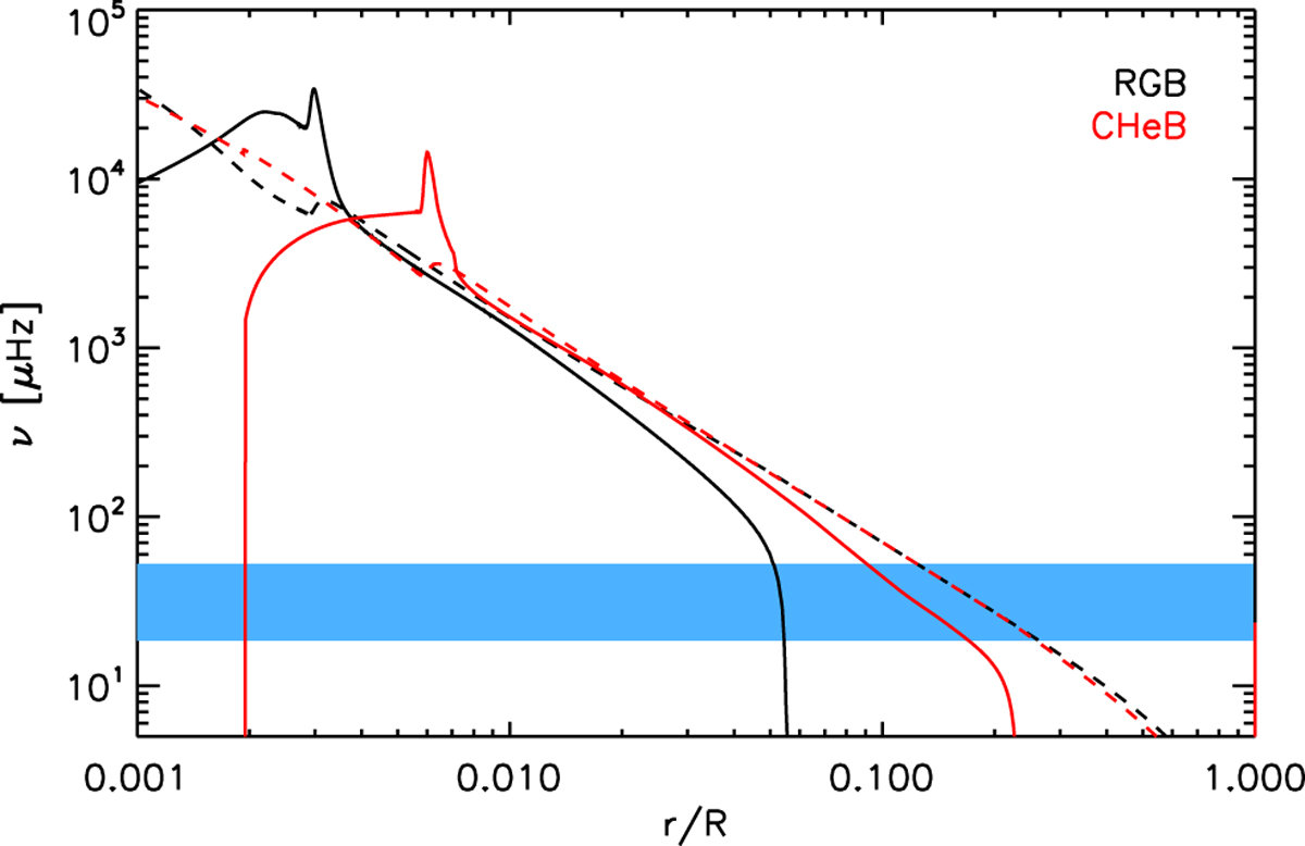
Fig. 9

Propagation diagram of a RGB (black) and CHeB model (red) with the Brunt-Väisälä frequencies indicated by the solid lines and the Lamb frequencies by the dashed lines.The region in which we can expect oscillations to be observed is indicated with the blue bar.
Current usage metrics show cumulative count of Article Views (full-text article views including HTML views, PDF and ePub downloads, according to the available data) and Abstracts Views on Vision4Press platform.
Data correspond to usage on the plateform after 2015. The current usage metrics is available 48-96 hours after online publication and is updated daily on week days.
Initial download of the metrics may take a while.