Free Access
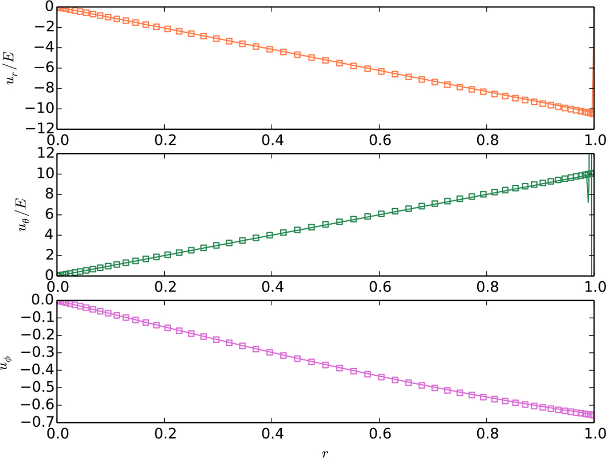
Fig. 3

Comparison of the analytical expressions of the velocity components derived in the last section (squares) and the numerical results (solid lines) as a function of the radius at the colatitude θ = 0.5 for E = 10−6 and b = +1 in the radial(orange), latitudinal (green), and azimuthal (purple) directions.
Current usage metrics show cumulative count of Article Views (full-text article views including HTML views, PDF and ePub downloads, according to the available data) and Abstracts Views on Vision4Press platform.
Data correspond to usage on the plateform after 2015. The current usage metrics is available 48-96 hours after online publication and is updated daily on week days.
Initial download of the metrics may take a while.