Free Access
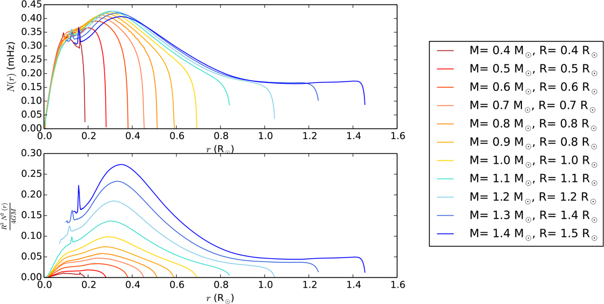
Fig. 4

Top: Brunt–Väisälä frequency as a function of the radius, in the radiative core of low-mass stars during the main sequence (Xc = 0.5) for stellar masses in the range [0.4 − 1.4]M⊙ from MESA models. Bottom: amplitude of the right-hand side of Eq. (34) (to be multiplied by ) as a function of the radius.
Current usage metrics show cumulative count of Article Views (full-text article views including HTML views, PDF and ePub downloads, according to the available data) and Abstracts Views on Vision4Press platform.
Data correspond to usage on the plateform after 2015. The current usage metrics is available 48-96 hours after online publication and is updated daily on week days.
Initial download of the metrics may take a while.