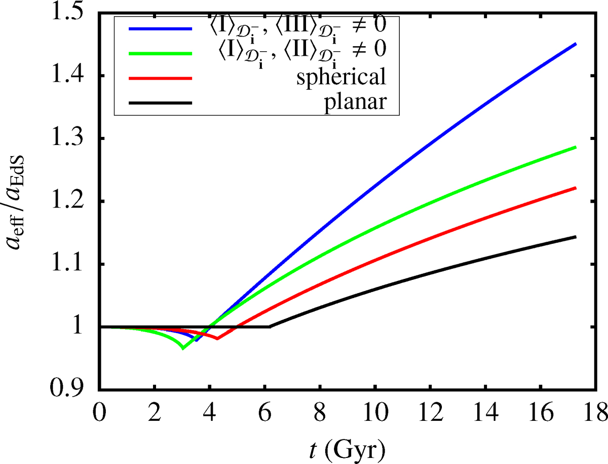
Fig. 1

Pre- and post-virialisation EdS-normalised scale factor evolution aeff∕aEdS for a biscale partition evolved using the VQZA as motivated in Sect. 2 and defined in Sect. 4. From bottom to top at t ≳ 7 Gyr, the arbitrarily chosen dimensionless values of the average initial invariants (at initial scale factor) in the expanding domain are
,
,
(“planar” case); (0.01, 10−4∕3, 10−6∕27) (“spherical”
case); (0.01, 10−4, 0); and (0.01, 0, 10−6); respectively. The sharp transitions from pre-virialisation to post-virialisation epochs are clearly visible and occur at roughly 7 Gyr to 2 Gyr, respectively. Prior to virialisation, the QZA is fullycompatible with EdS global evolution (which can be thought of as Newtonian T3 cosmology), especially in the planar case, in which the QZA is exact in the Newtonian case.
Current usage metrics show cumulative count of Article Views (full-text article views including HTML views, PDF and ePub downloads, according to the available data) and Abstracts Views on Vision4Press platform.
Data correspond to usage on the plateform after 2015. The current usage metrics is available 48-96 hours after online publication and is updated daily on week days.
Initial download of the metrics may take a while.