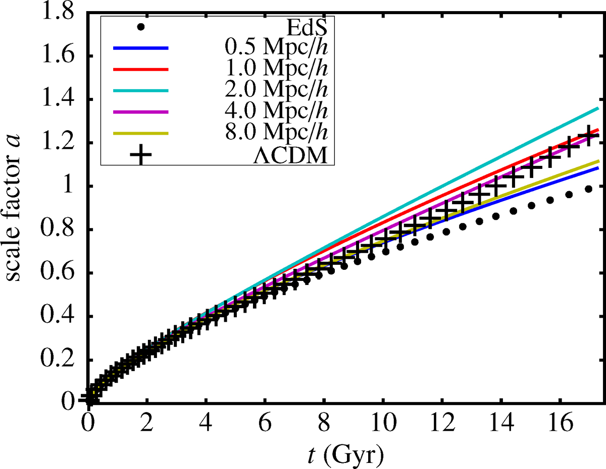
Fig. 13

As in Fig. 7 (middle), for N-body evolution and Lagrangian tracing of initial domains, for , with N = 1283 particles, and nsoft∕(N1∕3) = 32. The curves’ behaviour is not monotonic with respect to
scales; the top curve is for
Mpc∕heff, the middle pair of curves are for
Mpc∕heff (upper) and
Mpc∕heff (lower), and the bottom pair are for
Mpc∕heff (upper) and
Mpc∕heff (lower).
Current usage metrics show cumulative count of Article Views (full-text article views including HTML views, PDF and ePub downloads, according to the available data) and Abstracts Views on Vision4Press platform.
Data correspond to usage on the plateform after 2015. The current usage metrics is available 48-96 hours after online publication and is updated daily on week days.
Initial download of the metrics may take a while.