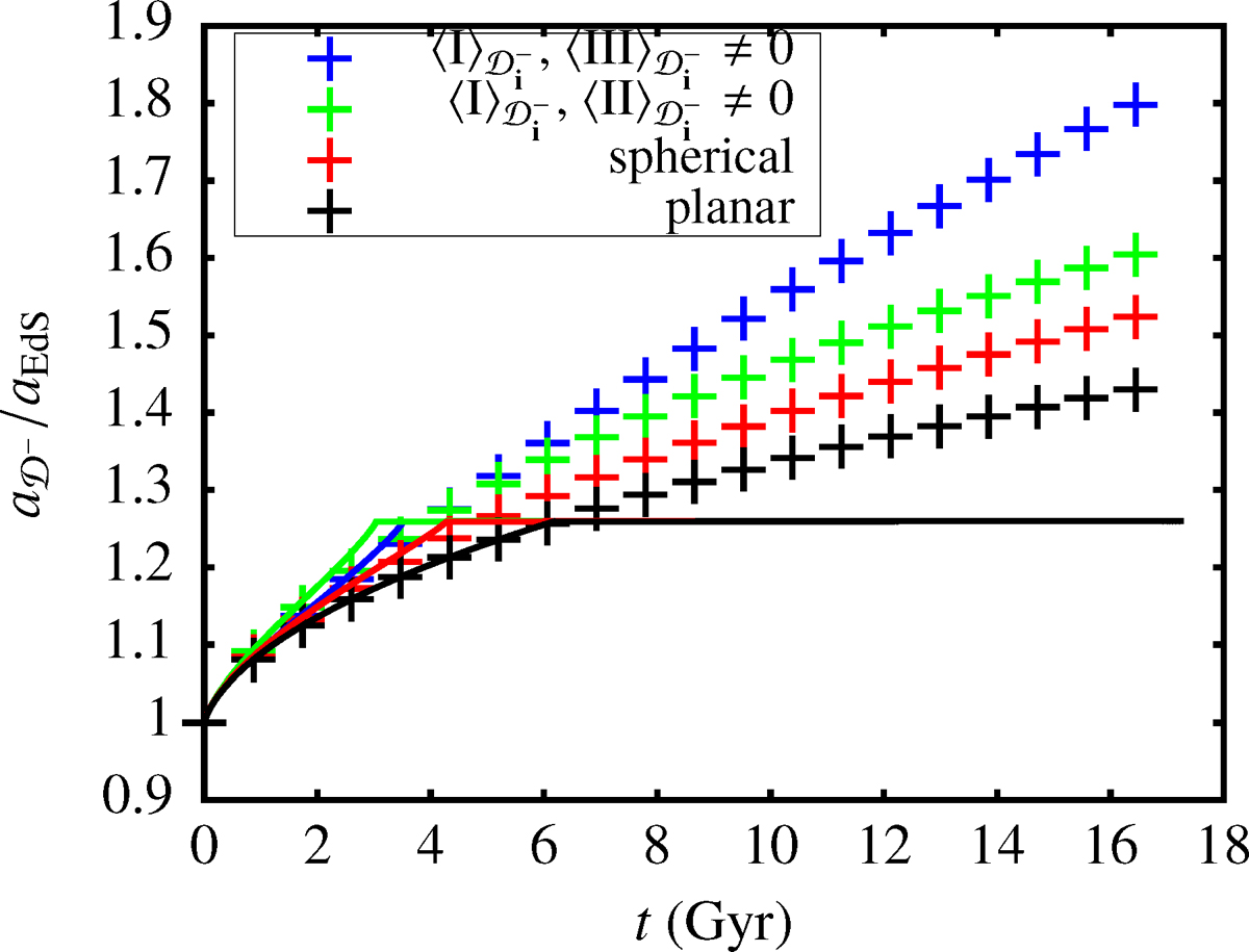
Fig. 2

Expanding-domain scale factor evolution for the biscale partition models illustrated in Fig. 1, comparing evolution of this domain according to the VQZA model (silent virialisation) and according to the standard N-body EdS “Newtonian” constraint (instantaneous feedback from virialisation). The VQZA scale factor evolution (+ symbols) correspond from bottom to top to those from bottom to top in Fig. 1. The standard-model scale-factor
(solid curves; Eq. (48)) are indistinguishable following virialisation of the overdense domain, since by assumption, the expanding domain suddenly switchesfrom hyperbolic (super-EdS) evolution to very-nearly flat (EdS) evolution (
) when virialisation of the overdense domain occurs. A tiny difference from perfectly flat EdS evolution is present because the overdense domain has a small but non-zero fixed (stable clustering) volume.
Current usage metrics show cumulative count of Article Views (full-text article views including HTML views, PDF and ePub downloads, according to the available data) and Abstracts Views on Vision4Press platform.
Data correspond to usage on the plateform after 2015. The current usage metrics is available 48-96 hours after online publication and is updated daily on week days.
Initial download of the metrics may take a while.