Free Access
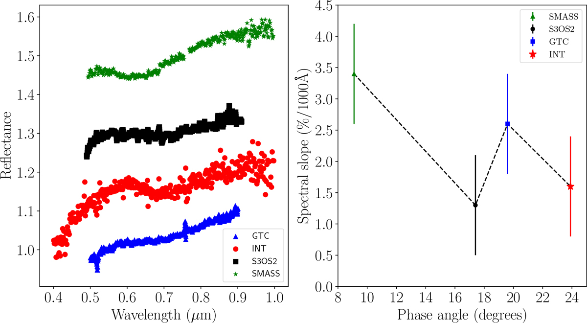
Fig. 6

Visible spectra of asteroid (752) Sulamitis currently available (left panel). The four spectra are normalized to unity at 0.55 μm and offset vertically for clarity. In the right panel we show the computed slope of the spectra as a function of phase angle at the moment of the observations.
Current usage metrics show cumulative count of Article Views (full-text article views including HTML views, PDF and ePub downloads, according to the available data) and Abstracts Views on Vision4Press platform.
Data correspond to usage on the plateform after 2015. The current usage metrics is available 48-96 hours after online publication and is updated daily on week days.
Initial download of the metrics may take a while.