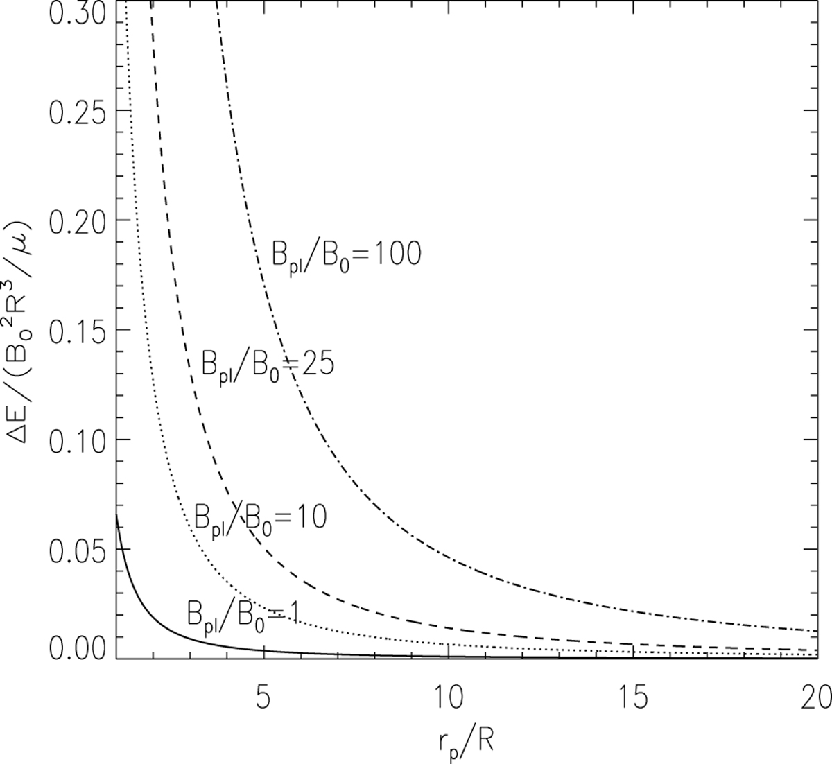
Fig. 9

Magnetic energy difference Δ E between the stellar coronal field without and with a planetary magnetosphere inside itself vs. the distance rp of the planet from the centre of its host star. The value of Δ E is computed in the case of a closed magnetosphere (Cimf = 0) and a potential stellar field directed radially by applying Eq. (38) with n = 0. Different line styles refer to different values of the ratio of the planetary to the stellar magnetic field Bpl ∕B0 as labelled. The radius of the planet is assumed to be 0.1 R in all the cases.
Current usage metrics show cumulative count of Article Views (full-text article views including HTML views, PDF and ePub downloads, according to the available data) and Abstracts Views on Vision4Press platform.
Data correspond to usage on the plateform after 2015. The current usage metrics is available 48-96 hours after online publication and is updated daily on week days.
Initial download of the metrics may take a while.