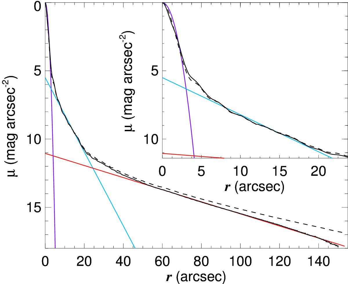
Fig. 1

Surface brightness as a function of the radius of the symmetrised 3.6 μm PSFs obtained from the data in Hora et al. (2012). The continuous black line corresponds to the warm mission and the dashed line corresponds to the cryogenic mission. The coloured lines represent a Gaussian profile with a FWHM (purple), an exponential function with a
scale-length (blue), and an exponential function with a
scale-length (red). The inset displays a radially zoomed version of the central regions of the PSFs. The zero point of the vertical axis is normalised to unity at the centre of the PSF.
Current usage metrics show cumulative count of Article Views (full-text article views including HTML views, PDF and ePub downloads, according to the available data) and Abstracts Views on Vision4Press platform.
Data correspond to usage on the plateform after 2015. The current usage metrics is available 48-96 hours after online publication and is updated daily on week days.
Initial download of the metrics may take a while.