Free Access
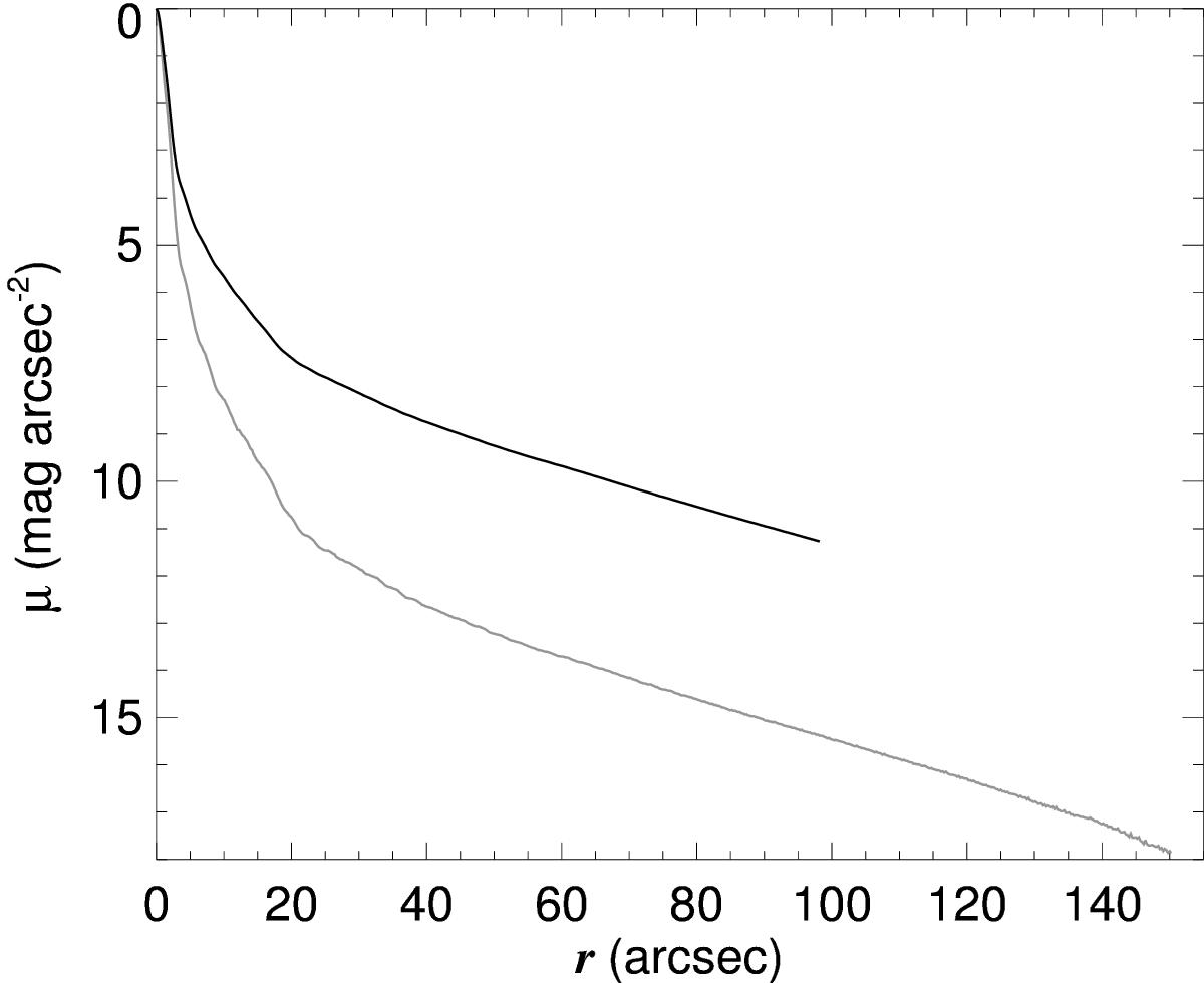
Fig. 3

Vertical surface brightness of the 1D mock PSF for the 0.2 r25 < |x| < 0.5 r25 bins of ESO 533-4 (black) compared to the radial surface-brightness profile of the symmetrised IRAC PSF (grey). The zero point of the vertical axis is arbitrary.
Current usage metrics show cumulative count of Article Views (full-text article views including HTML views, PDF and ePub downloads, according to the available data) and Abstracts Views on Vision4Press platform.
Data correspond to usage on the plateform after 2015. The current usage metrics is available 48-96 hours after online publication and is updated daily on week days.
Initial download of the metrics may take a while.