Free Access
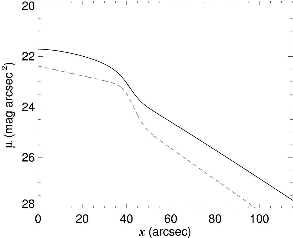
Fig. 7

Comparison of the fitted unconvolved edge-on surface-brightness profile for the NGC 3454 disc (dark line) with the one that would be observed if the galaxy were seen face-on (grey dashed line). The surface brightness of the face-on profile is scaled to appear close to the edge-on profile in the plot.
Current usage metrics show cumulative count of Article Views (full-text article views including HTML views, PDF and ePub downloads, according to the available data) and Abstracts Views on Vision4Press platform.
Data correspond to usage on the plateform after 2015. The current usage metrics is available 48-96 hours after online publication and is updated daily on week days.
Initial download of the metrics may take a while.