Free Access
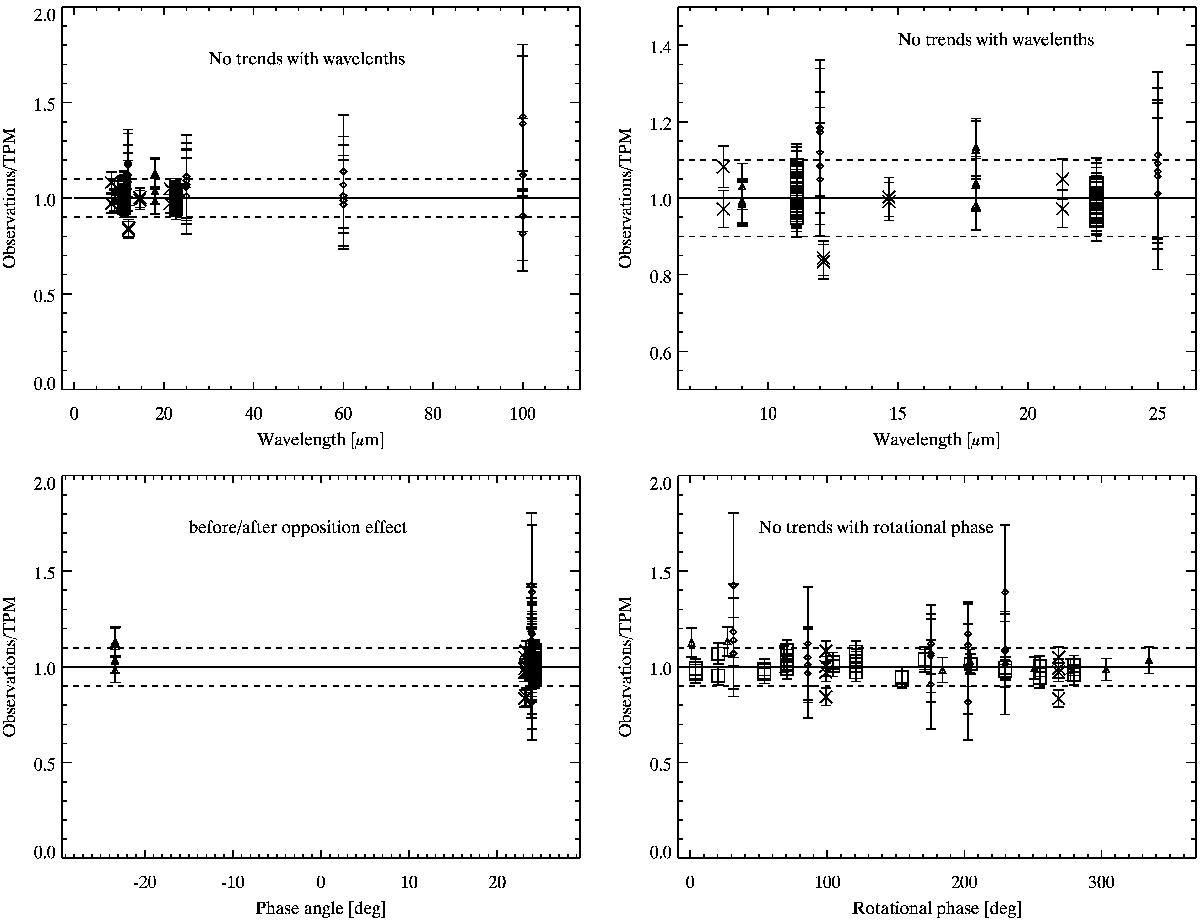
Fig. 21

O–C diagrams for the thermophysical model of (329) Svea using convex model 1. There are no trends with wavelength, rotation, or pre- and post-opposition asymmetry. For the best fitting thermal parameters see Table 7. Triangles: data from AKARI, squares: WISE W3/W4, small diamonds: IRAS, X-symbols: MSX.
This figure is made of several images, please see below:
Current usage metrics show cumulative count of Article Views (full-text article views including HTML views, PDF and ePub downloads, according to the available data) and Abstracts Views on Vision4Press platform.
Data correspond to usage on the plateform after 2015. The current usage metrics is available 48-96 hours after online publication and is updated daily on week days.
Initial download of the metrics may take a while.