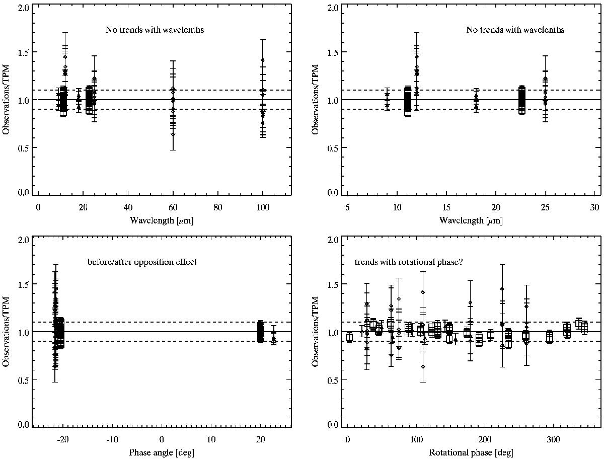
Fig. 25

O–C diagrams for the thermophysical model of (487) Venetia using SAGE model 2. There are no trends with wavelength or pre- and post-opposition asymmetry, but some trends with rotation can be noticed in the WISE data (box symbol). These data cover the object’s full rotation during two separate epochs in January and July 2010, and residual trends can only be explained by shape effects. For the best fitting thermal parameters see Table 7.
Current usage metrics show cumulative count of Article Views (full-text article views including HTML views, PDF and ePub downloads, according to the available data) and Abstracts Views on Vision4Press platform.
Data correspond to usage on the plateform after 2015. The current usage metrics is available 48-96 hours after online publication and is updated daily on week days.
Initial download of the metrics may take a while.