Free Access

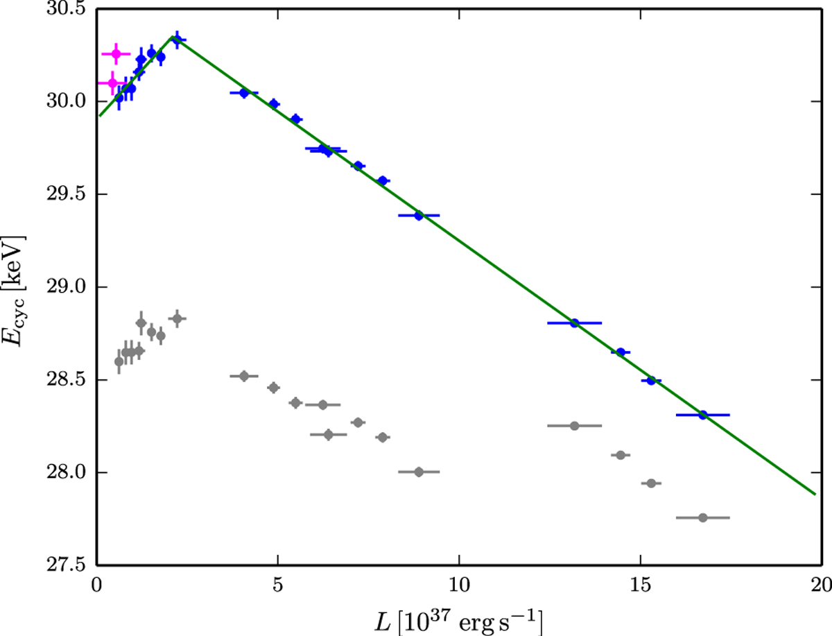
Fig. 5

image

Observed correlations between the fundamental cyclotron line energy and luminosity as a result of the pulse-amplitude-resolved analysis (gray crosses). The blue crosses are the correlations corrected for the time drift. The green line is the best fit model to the blue crosses, which reflect the EcycLx dependence corrected for the time drift. The reference time corresponds to the beginning of the giant outburst. The data of the 2016 outburst are marked as the magenta crosses.

Current usage metrics show cumulative count of Article Views (full-text article views including HTML views, PDF and ePub downloads, according to the available data) and Abstracts Views on Vision4Press platform.

Data correspond to usage on the plateform after 2015. The current usage metrics is available 48-96 hours after online publication and is updated daily on week days.

Initial download of the metrics may take a while.