Free Access
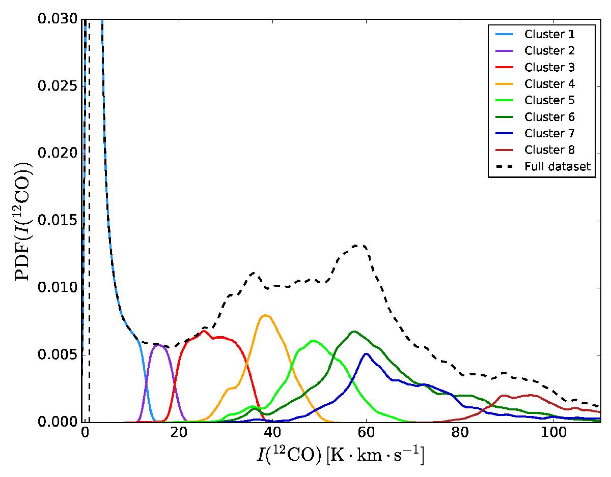
Fig. 4

PDF of the 12CO J = 1–0 line intensity, comparing the PDF of the total dataset (dashed) to the contributions of the different clusters (solid contours coloured according to the colour coding of clusters in Fig. 2). The thin vertical dashed line shows the median 4σ noise level.
Current usage metrics show cumulative count of Article Views (full-text article views including HTML views, PDF and ePub downloads, according to the available data) and Abstracts Views on Vision4Press platform.
Data correspond to usage on the plateform after 2015. The current usage metrics is available 48-96 hours after online publication and is updated daily on week days.
Initial download of the metrics may take a while.