Free Access
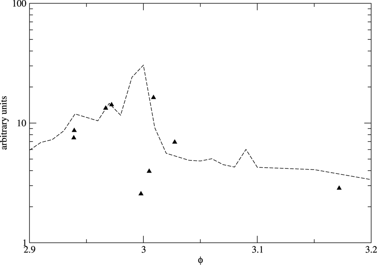
Fig. 7

Comparison between the observed continuum flux and flux deduced from simulation. The filled triangles indicate the intrinsic WWC flux corrected for both absorption and Thomson scattering. The dashed line denotes the expectation. The horizontal axis is the orbital phase.
Current usage metrics show cumulative count of Article Views (full-text article views including HTML views, PDF and ePub downloads, according to the available data) and Abstracts Views on Vision4Press platform.
Data correspond to usage on the plateform after 2015. The current usage metrics is available 48-96 hours after online publication and is updated daily on week days.
Initial download of the metrics may take a while.