Free Access
Fig. A.2

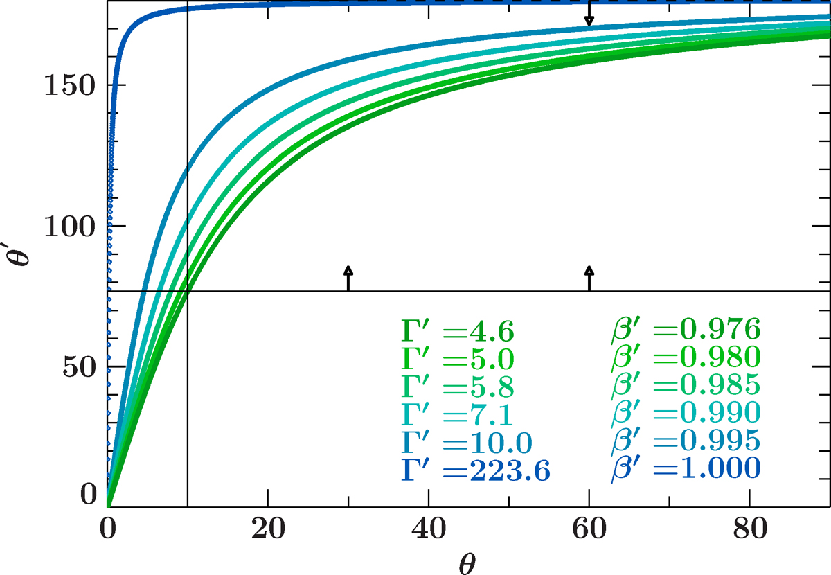
Constraints on the intrinsic viewing angle θ′ based onprevious estimates of the viewing angle in the observers frame and the intrinsic speed β′. We plot the relation θ′(θ) for a range of allowed values of β′. The lower limit of θ = 10° at a speed of β′~ 0.976 sets the lower limit on θ′.
Current usage metrics show cumulative count of Article Views (full-text article views including HTML views, PDF and ePub downloads, according to the available data) and Abstracts Views on Vision4Press platform.
Data correspond to usage on the plateform after 2015. The current usage metrics is available 48-96 hours after online publication and is updated daily on week days.
Initial download of the metrics may take a while.