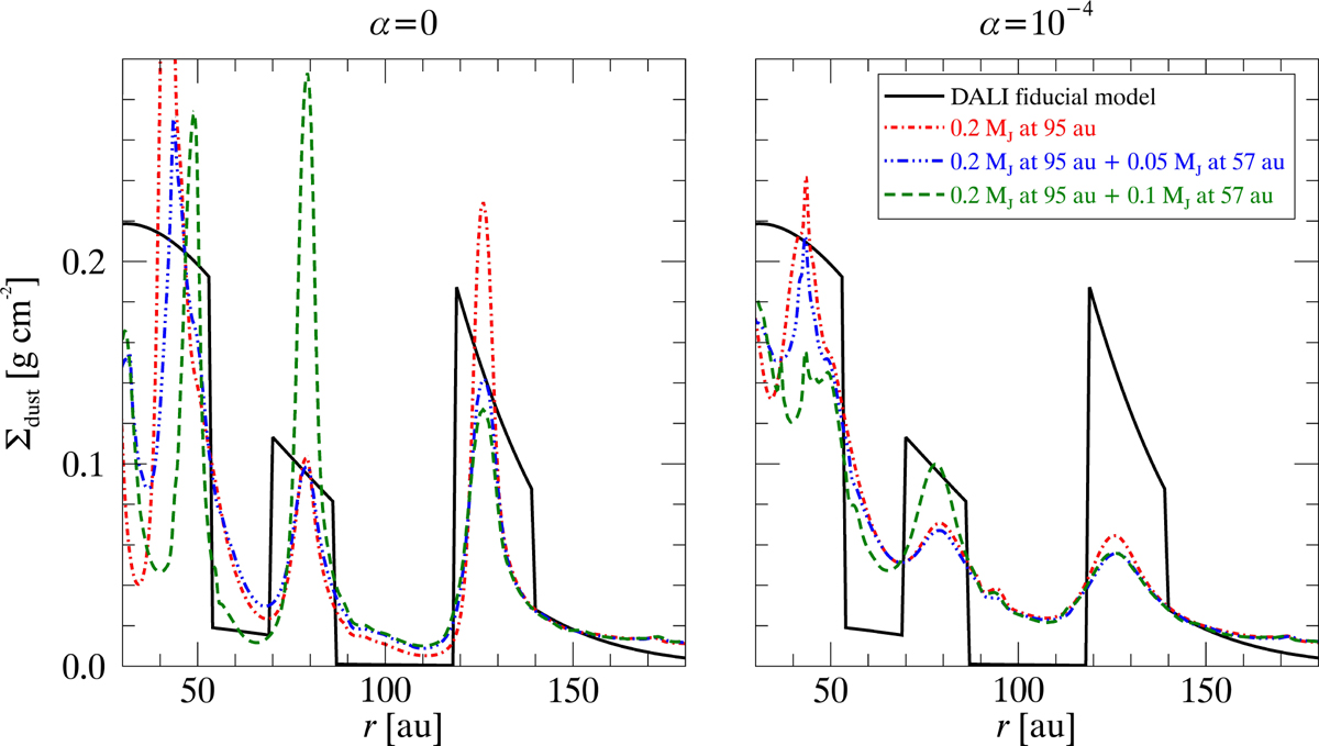
Fig. 5

Results of hydrodynamical simulations for the inviscid (left) and α = 10−4 (right) case. The black line corresponds to the dust surface density determined with DALI (Sect. 4). The (red) dot-dashed line is the 1 mm grains surface density based on the single planet scenario with 0.2 MJ planet at 95 au after 0.65 Myr (Sect. 5). The (blue) dot-dot-dashed and the (green) dashed curves corresponds to the two planets scenario with an inner planet of mass 0.05 and 0.1 MJ , respectively.
Current usage metrics show cumulative count of Article Views (full-text article views including HTML views, PDF and ePub downloads, according to the available data) and Abstracts Views on Vision4Press platform.
Data correspond to usage on the plateform after 2015. The current usage metrics is available 48-96 hours after online publication and is updated daily on week days.
Initial download of the metrics may take a while.