Free Access
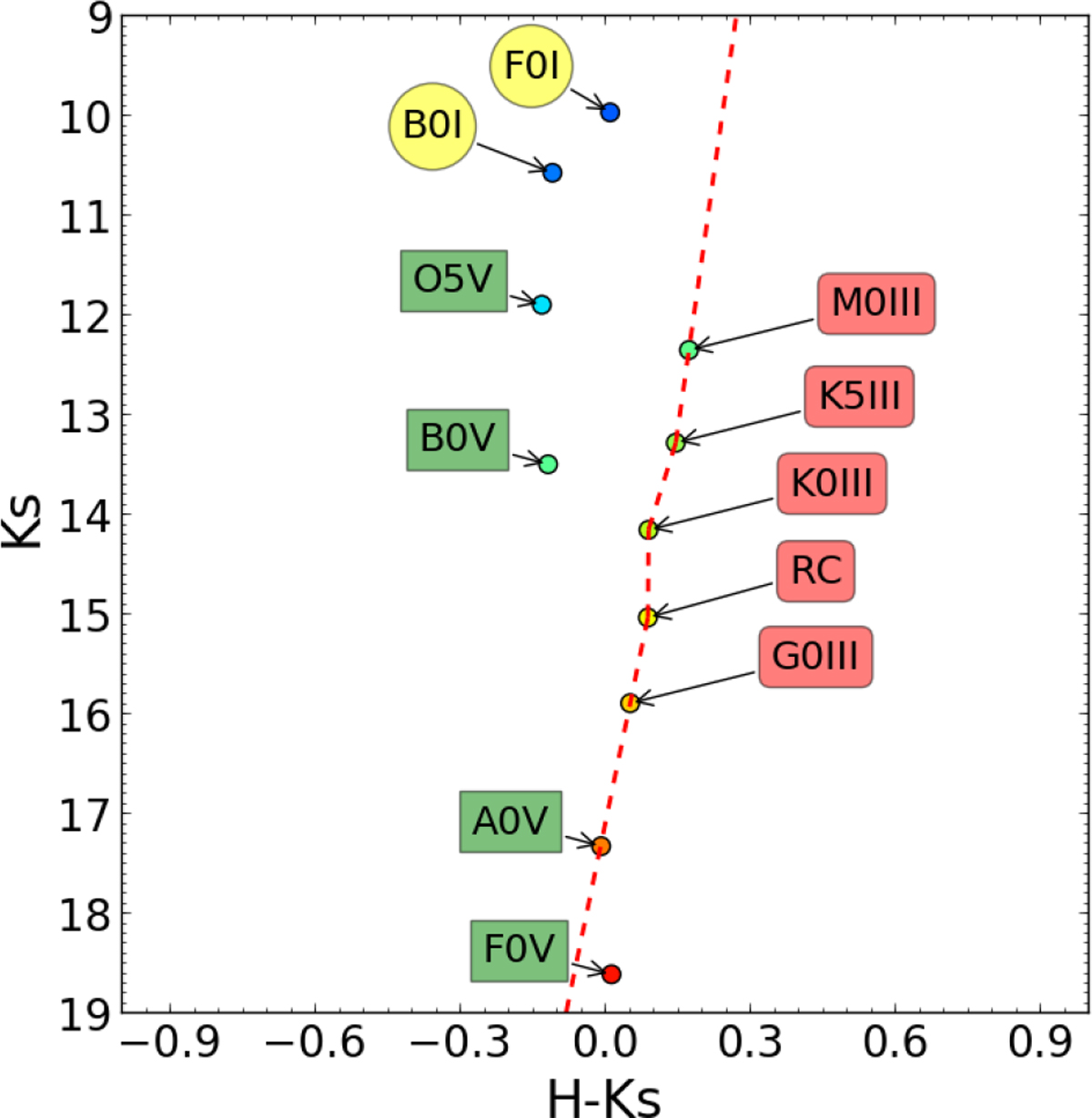
Fig. 29

Reddened observed magnitude (assuming a distance modulus of 14.51 and a mean extinction A1.61 = 3.67) vs. intrinsic colour for several types of stars computed using Kurucz models. The red dashed line indicates the intrinsic colours usedfor the stars selected to compute the extinction map.
Current usage metrics show cumulative count of Article Views (full-text article views including HTML views, PDF and ePub downloads, according to the available data) and Abstracts Views on Vision4Press platform.
Data correspond to usage on the plateform after 2015. The current usage metrics is available 48-96 hours after online publication and is updated daily on week days.
Initial download of the metrics may take a while.