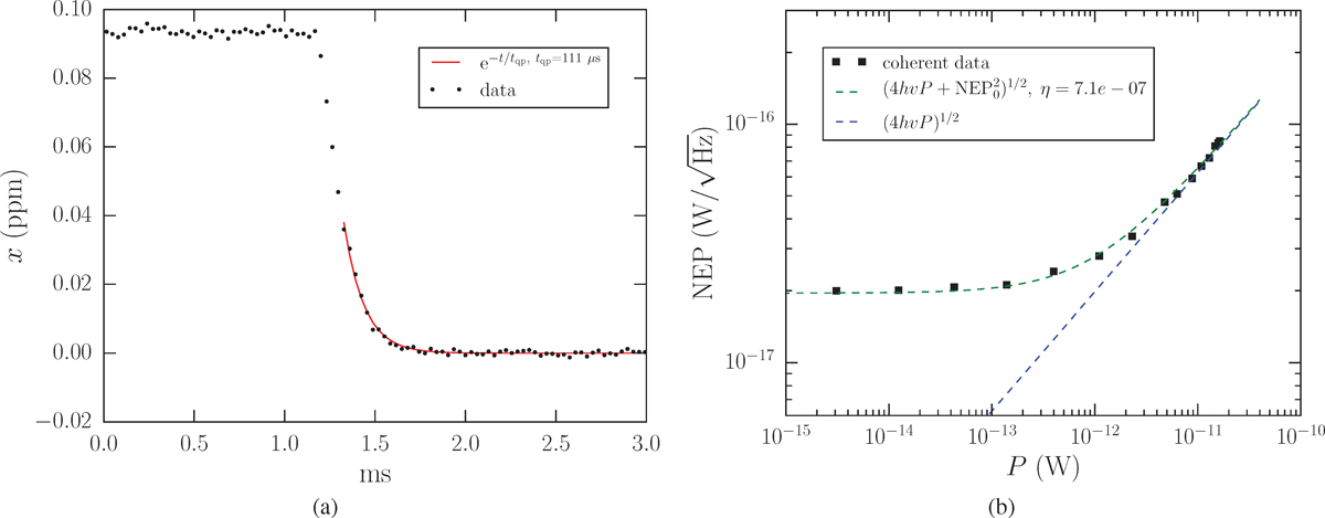
Fig. 7

a) Resonator response to a 122 Hz chopped signal. The TOD has been folded and averaged. We use a higher mode resonance ( ~1 GHz) of the LEKID to measure the quasiparticle lifetime. We fit the tail of the falling edge to an exponential model to find the quasiparticlelifetime τqp = 111 μs. The fit is thered line. b) Detector NEP as a function of absorbed power. Plotted in the blue dashed line is the expected photon noise for coherent radiation which is shot noise and GR noise in equal parts. The limiting NEP 0, at the lowestpowers, is approximately . The devices are photon noise dominated above approximately 1 pW of absorbed power.
Current usage metrics show cumulative count of Article Views (full-text article views including HTML views, PDF and ePub downloads, according to the available data) and Abstracts Views on Vision4Press platform.
Data correspond to usage on the plateform after 2015. The current usage metrics is available 48-96 hours after online publication and is updated daily on week days.
Initial download of the metrics may take a while.