Free Access
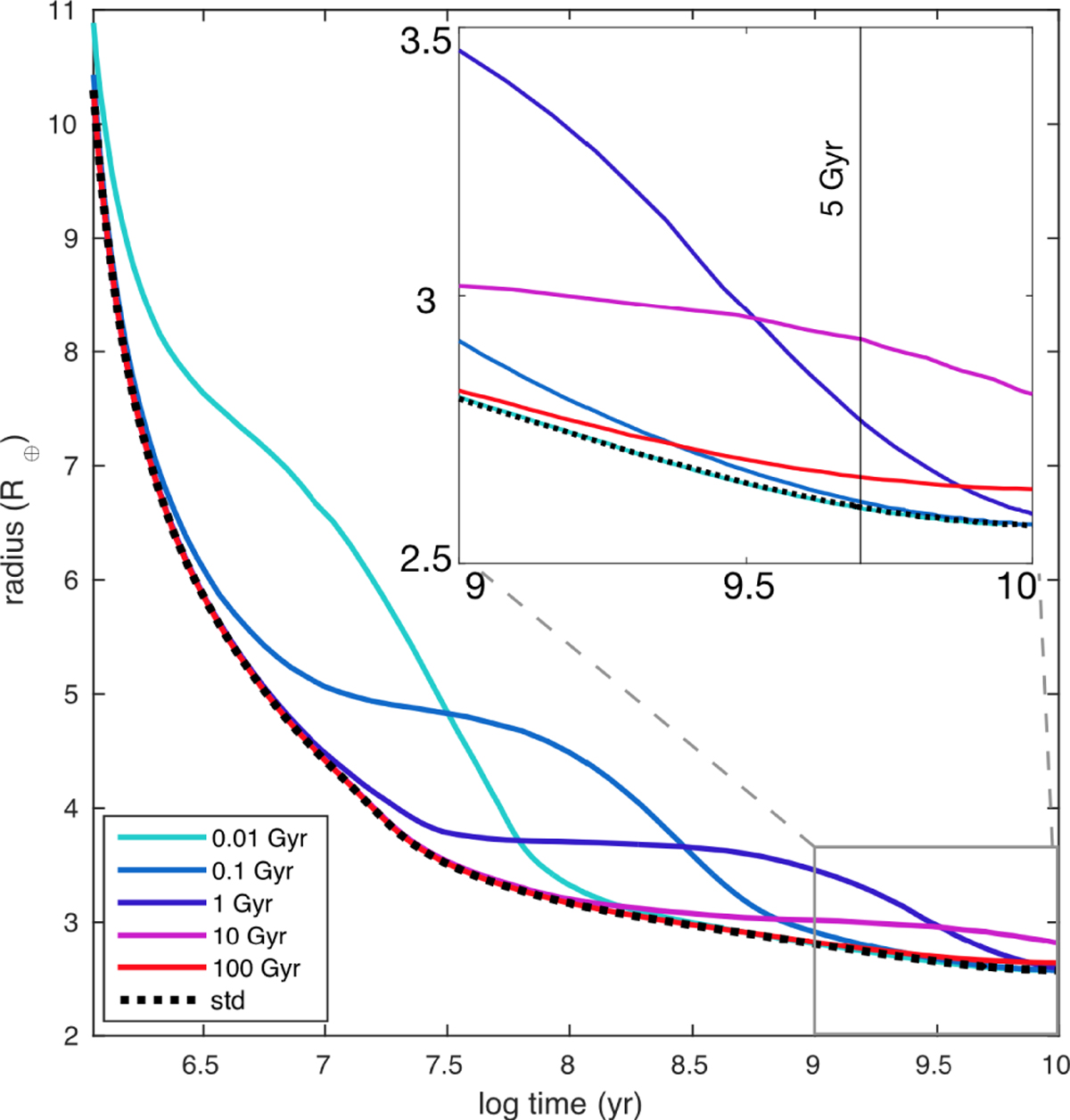
Fig. 1

Radius evolution of a 5 M⊕ planet with 10% HHe envelope for different core cooling times. The dashed curve is for standard core cooling rate approximation. The initial conditions are the same for all cases. In the rectangular box, the radius evolution is represented between 1–10 Gyr.
Current usage metrics show cumulative count of Article Views (full-text article views including HTML views, PDF and ePub downloads, according to the available data) and Abstracts Views on Vision4Press platform.
Data correspond to usage on the plateform after 2015. The current usage metrics is available 48-96 hours after online publication and is updated daily on week days.
Initial download of the metrics may take a while.