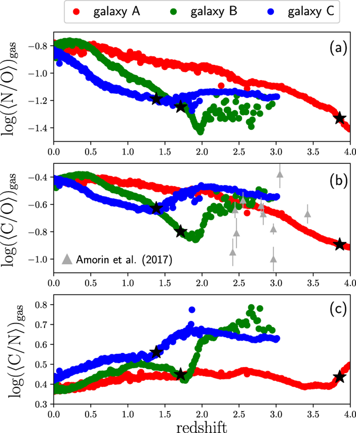
Fig. 4

(a–c) average SFR-weighted gas-phase log(N/O), log(C/O) and log(C/N) as functions of redshift. We only show the predictions of our simulation for the redshifts when the galaxy stellar mass M⋆ (z) ≥ 108 M⊙. The black star symbol on each trackmarks the redshift when M⋆ ≈ 109 M⊙. The grey triangles with the error bars correspond to the observational data of Amorín et al. (2017).
Current usage metrics show cumulative count of Article Views (full-text article views including HTML views, PDF and ePub downloads, according to the available data) and Abstracts Views on Vision4Press platform.
Data correspond to usage on the plateform after 2015. The current usage metrics is available 48-96 hours after online publication and is updated daily on week days.
Initial download of the metrics may take a while.