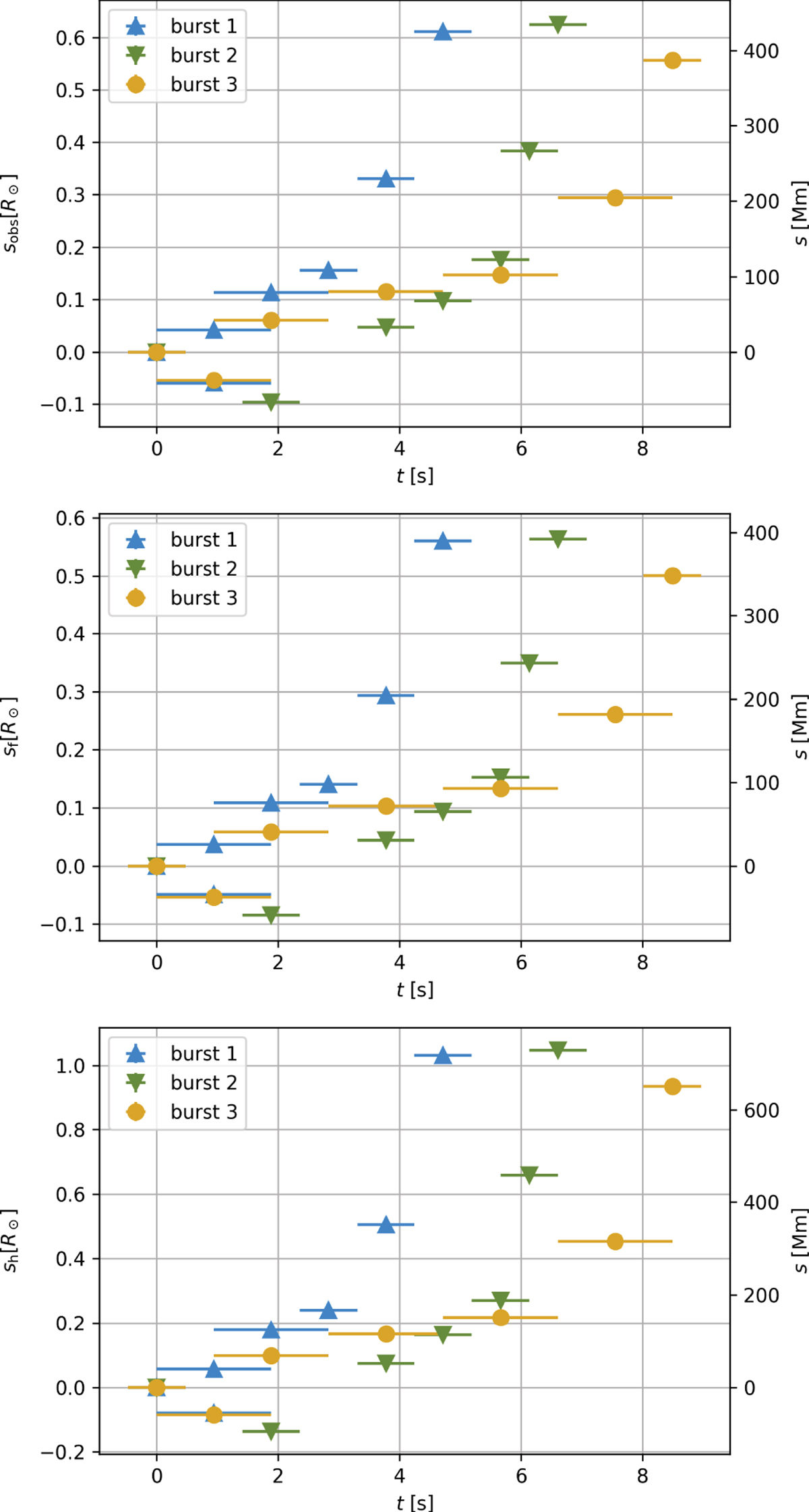
Fig. 9

Path-time diagrams of the three type-III radio bursts as obtained from the observed (sobs ), fundamental (sf) and harmonic (sh) emission regions in the plane of sky according to Table 2. The sources propagate with increasing speed. The error in time is either one or two time steps of 0.94 s depending on how clearly the image of the burst’s onset could be distinguished. The statistical error of s is about 0.01 R⊙ and hidden by the marker.
Current usage metrics show cumulative count of Article Views (full-text article views including HTML views, PDF and ePub downloads, according to the available data) and Abstracts Views on Vision4Press platform.
Data correspond to usage on the plateform after 2015. The current usage metrics is available 48-96 hours after online publication and is updated daily on week days.
Initial download of the metrics may take a while.