Free Access
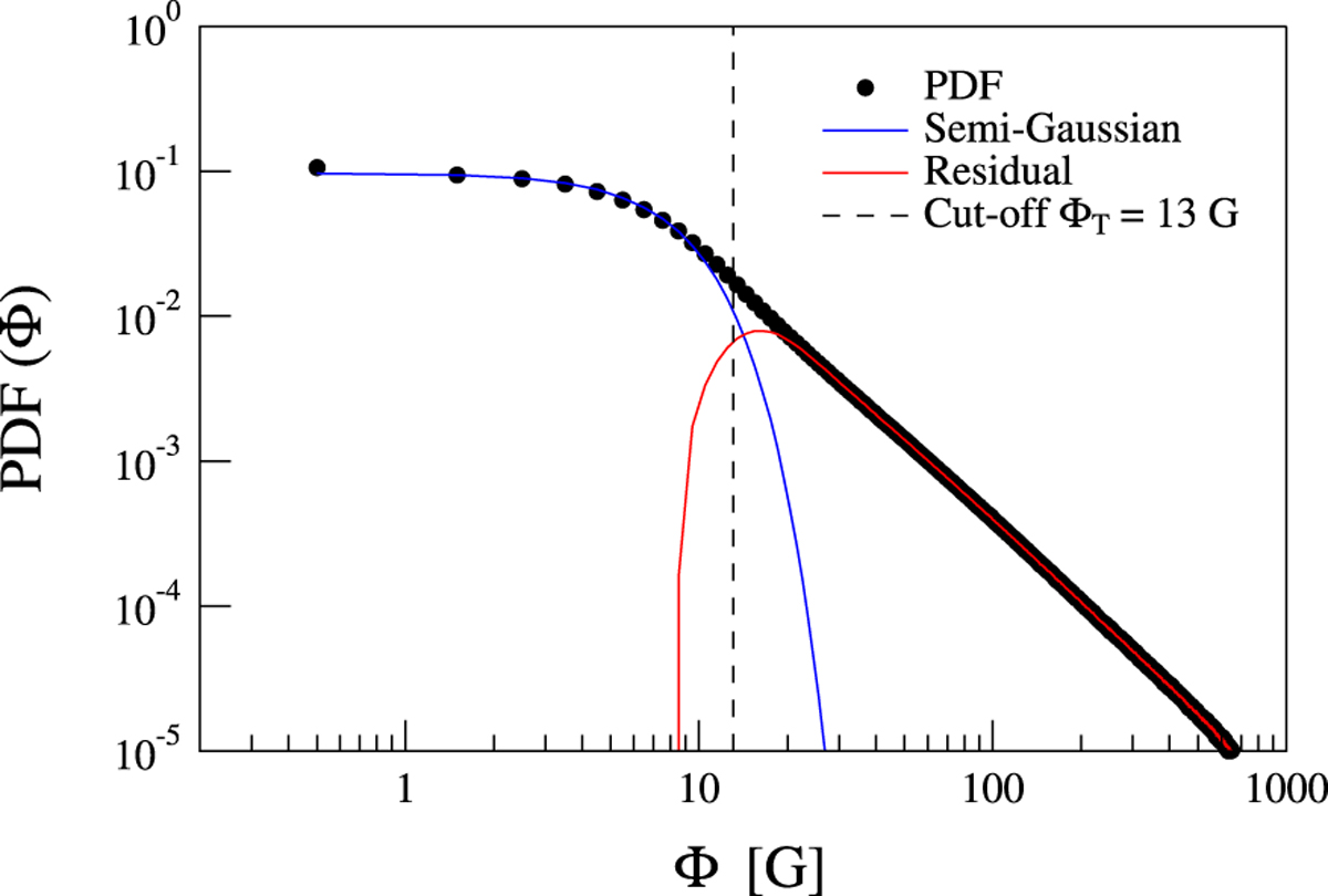
Fig. 2

Fluxstrength probability distribution function, PDF(Φ ), obtained by considering all the frames in the magnetogram time series (black dots). The blue line corresponds to a semi-Gaussian fitting model, the red line to the residual. The threshold value of Φ T = 13 G is markedby a vertical dashed line.
Current usage metrics show cumulative count of Article Views (full-text article views including HTML views, PDF and ePub downloads, according to the available data) and Abstracts Views on Vision4Press platform.
Data correspond to usage on the plateform after 2015. The current usage metrics is available 48-96 hours after online publication and is updated daily on week days.
Initial download of the metrics may take a while.