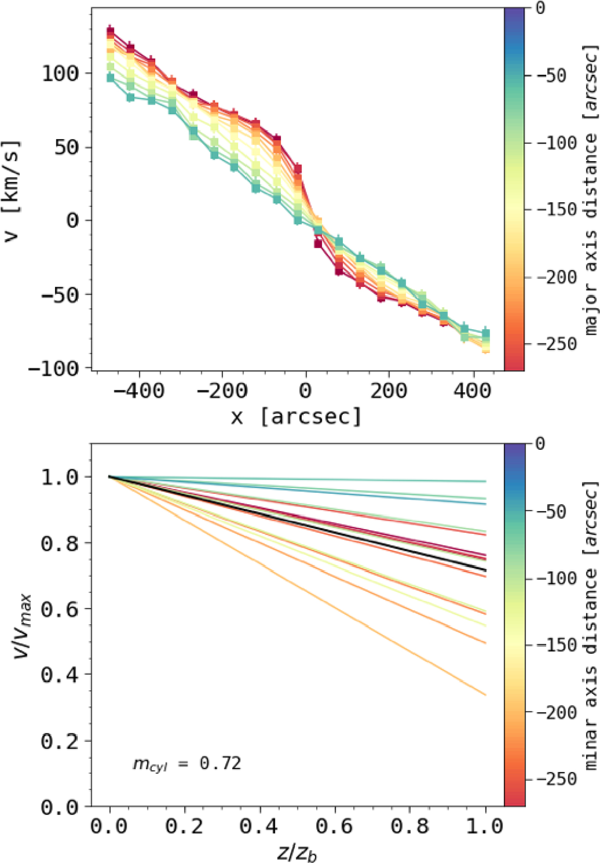
Fig. 31

Measurement of the cylindrical rotation of the south-east side of M 31 according to the method by Molaeinezhad et al. (2016). Top: stellar line-of-sight velocity parallel to the major axis of galaxies at different heights from the disk plane. Bottom: line-of-sight velocity gradient parallel to the minor axis at different distances from the minor axis. Profiles are color-coded according to the distance from the minor axis. The solid black profile represents the average value mavg . The cylindrical rotation is then mcyl =mavg + 1 as a quantity to express the level of cylindrical rotation.
Current usage metrics show cumulative count of Article Views (full-text article views including HTML views, PDF and ePub downloads, according to the available data) and Abstracts Views on Vision4Press platform.
Data correspond to usage on the plateform after 2015. The current usage metrics is available 48-96 hours after online publication and is updated daily on week days.
Initial download of the metrics may take a while.