Free Access
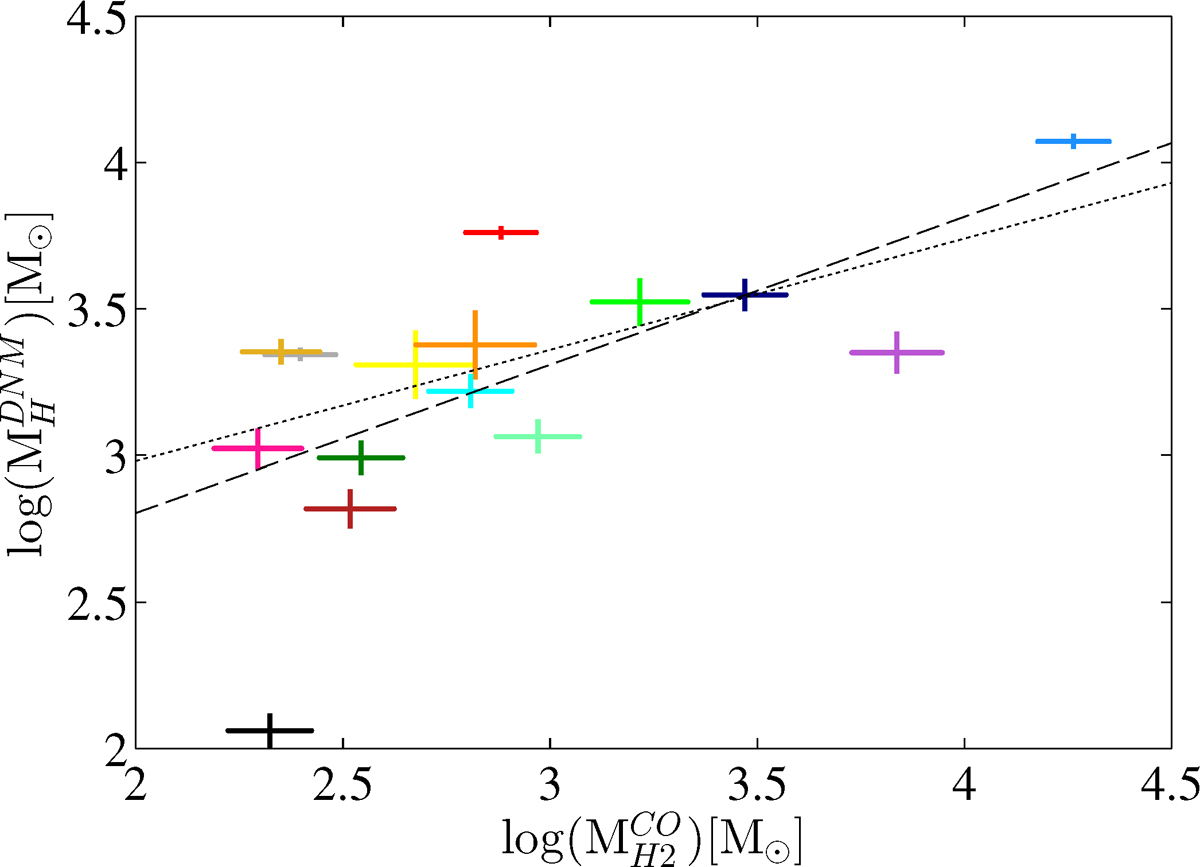
Fig. 12

Gas mass in the DNM (both atomic and molecular) as a function of the H2 mass in the CO-bright phase. The dashed and dotted lines correspond to the best power-law fit respectively including and excluding the compact ChaEastI filament (black point). The colours refer to the same clouds as in Fig. 1.
Current usage metrics show cumulative count of Article Views (full-text article views including HTML views, PDF and ePub downloads, according to the available data) and Abstracts Views on Vision4Press platform.
Data correspond to usage on the plateform after 2015. The current usage metrics is available 48-96 hours after online publication and is updated daily on week days.
Initial download of the metrics may take a while.