Free Access
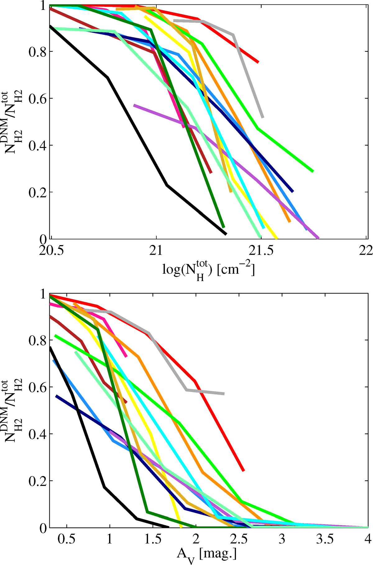
Fig. 7

Evolution of the fraction
of molecular DNM in the total H2
column-density as a function of the total gas column density
(top) and visual extinction AV
(bottom). The DNM gas is assumed to be 50%
molecular. The colours refer to the same clouds as in Fig. 1.
Current usage metrics show cumulative count of Article Views (full-text article views including HTML views, PDF and ePub downloads, according to the available data) and Abstracts Views on Vision4Press platform.
Data correspond to usage on the plateform after 2015. The current usage metrics is available 48-96 hours after online publication and is updated daily on week days.
Initial download of the metrics may take a while.