Free Access
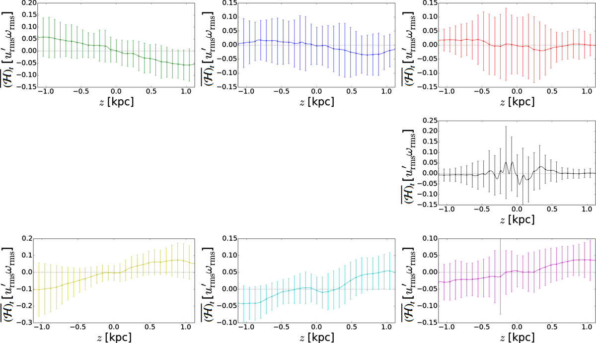
Fig. 7

Time- and horizontally-averaged profiles of net
helicity, ,
as a function of height. The error bars
show the standard deviation in time, for the
relevant horizontal slices. Top row has Runs
4Ωp ,
2Ωp ,
and 1Ωp (left
to right), middle 0Ω0,
and bottom row 4Ωn,
2Ωn ,
and 1Ωn (left
to right).
Current usage metrics show cumulative count of Article Views (full-text article views including HTML views, PDF and ePub downloads, according to the available data) and Abstracts Views on Vision4Press platform.
Data correspond to usage on the plateform after 2015. The current usage metrics is available 48-96 hours after online publication and is updated daily on week days.
Initial download of the metrics may take a while.