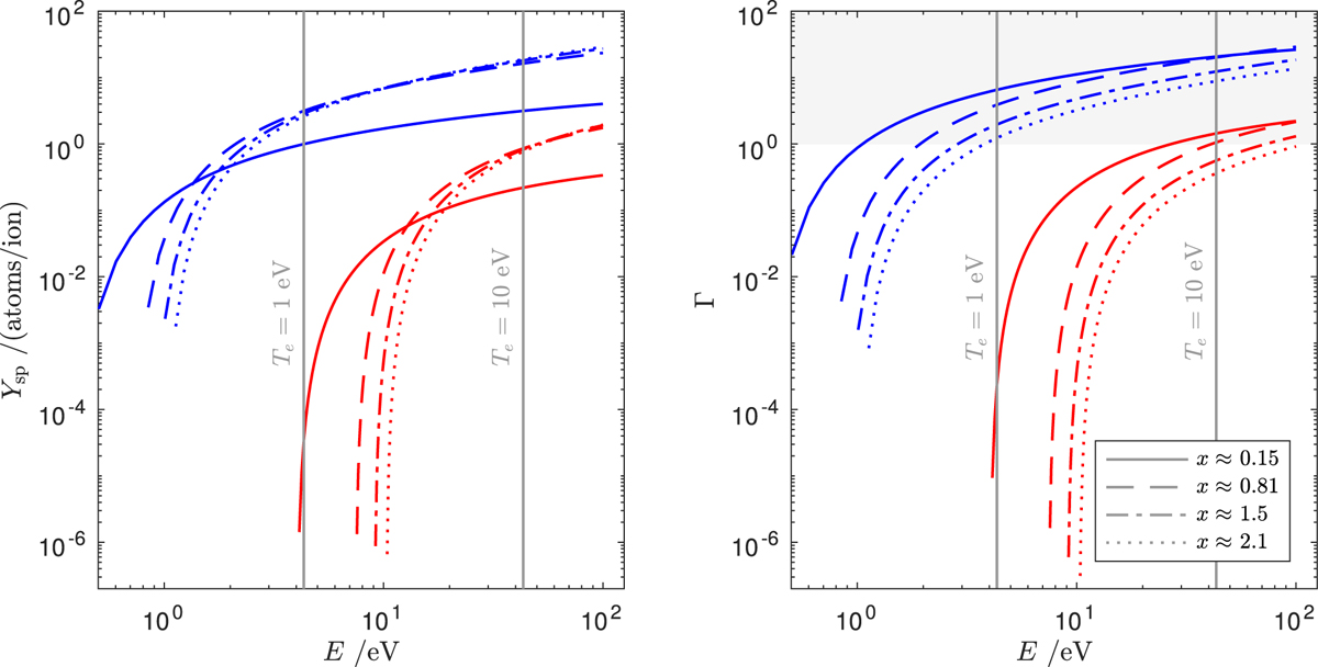
Fig. 4

Sputtering yield Y sp
(left) and Γ
(right), as a function of incident ion
energy for surface binding energies of
Eb = 1 eV
(red) and Eb = 0.1 eV
(blue); and, x = mi∕mn ≈ 0.15
(solid), ≈ 0.81
(dash), ≈ 1.5
(dot-dash) and ≈ 2.1
(dot). Typically the target species
range from light H atoms to heavier
Mg2 SiO4
molecules, to encapsulate this range the geometric
mean of the potential target masses was calculated as
kg).
Therefore, for this constant value of
mn
the range of x
plotted cover ion masses
mi = 4.0026u
(He) to mi = 55.845u
(Fe), covering the expected range of ionic
masses in the atmosphere. The regime
Γ > 1
(the sputtering regime) is signified by a
grey shaded area. For comparison the energy
of ions at the surface of the dust grain,
Esf
(Fig. 3), for
Te = 1
eV and Te = 10
eV when fe = 1
(the degree of ionisation,
fe = ne ∕(nn + ne)),
are over-plotted (grey-solid).
Current usage metrics show cumulative count of Article Views (full-text article views including HTML views, PDF and ePub downloads, according to the available data) and Abstracts Views on Vision4Press platform.
Data correspond to usage on the plateform after 2015. The current usage metrics is available 48-96 hours after online publication and is updated daily on week days.
Initial download of the metrics may take a while.